2010年会计职称《中级财务管理》证券评价(8)
更新时间:2010-02-25 09:23:40
来源:|0
浏览
收藏
中级会计职称报名、考试、查分时间 免费短信提醒
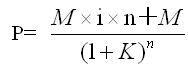
2.到期一次还本付息的债券估价模型

=(债券面值×票面利率×期限+债券面值)×(P/F,k,n)
3.零票面利率(票面利率为0)债券的估价模型

(二)债券收益的来源及影响收益率的因素
债券的收益主要包括两方面的内容:
一是债券的利息收入;
二是资本损益,即债券卖出价(在持有至到期的情况下为到期偿还额)与买入价之间的差额,当卖出价>买入价时为资本收益,
当卖出价<买入价时为资本损失。
决定债券收益率的因素主要有债券票面利率、期限、面值、持有时间、购买价格和出售价格。
2010年会计职称考试网络辅导招生简章 转自环球网校edu24ol.com
编辑推荐
最新资讯
- 2026中级会计经济法速记口诀50条|可下载打印,法条速记不费脑2026-03-23
- 2026中级会计财务管理速记口诀50条(可下载),公式/考点秒记,告别死背2026-03-23
- 2026中级会计财务管理100母题汇总(可下载打印),公式+真题同源,高效提分2026-03-23
- 2026中级会计经济法100母题汇总(可下载+含解析),背会稳冲60+2026-03-23
- 2026中级会计实务100母题汇总(可下载+含解析),吃透稳提20分2026-03-23
- 2026中级会计财务管理三色笔记:覆盖全书重点,精准分层2026-03-22
- 2026中级会计经济法全书知识点名称+对应分值汇总,背题抓分不盲目2026-03-21
- 26年中级会计实务各章节重点+思维导图,可直接下载!备考省80%时间2026-03-20
- 2026中级会计经济法:知识点+分值速览(免费下载,高效抓分)2026-03-20
- 2026中级会计财务管理必背公式汇总|可下载打印,记牢直接提分2026-03-19


