2011年《中级财务管理》辅导:筹资方式(2)
四、企业资金需要量预测
企业资金需要量的预测可以采用定性预测法、比率预测法和资金习性预测法。
(一)定性预测法
定性预测法是指利用直观的资料,依靠个人的经验和主观分析、判断能力,对未来资金需要量作出预测。该方法不能揭示资金需要量与有关因素之间的数量关系。转自环球网校edu24ol.com
(二)比率预测法
比率预测法是依据有关财务比率与资金需要量之间的关系预测资金需要量的方法。
常用的比率预测法是销售额比率法。
销售额比率法是指以资金与销售额的比率为基础,预测未来资金需要量的方法 。
1.销售额比率法的假定
(1)企业的部分资产和部分负债与销售额同比例变化。
①随销售额同比例变化的资产称为“变动资产” 。
②随销售额同比例变化的负债称为“变动负债”。
一般情况下,流动负债中的应付账款、应付费用随销售收入同比例增长。
注意: 做题时,必须按照题目的要求来确定到底哪些项目与销售成正比例关系(考试变动资产和变动负债是已知的)
(2)企业各项资产、负债与所有者权益结构已达到最优。
2. 销售额比率法计算公式
依据“Δ资金占用=Δ资金来源”预测
Δ资金占用=Δ资产
=Δ变动资产+Δ非变动资产
Δ资金来源=Δ变动负债+Δ留存收益+对外筹资需要量
所以:
Δ变动资产+Δ非变动资产=Δ变动负债+Δ留存收益+对外筹资需要量
整理得:
对外筹资需要量=Δ变动资产+Δ非变动资产-Δ变动负债-Δ留存收益
=【(Δ变动资产--Δ变动负债)+Δ非变动资产】-Δ留存收益
=Δ资金需求-Δ留存收益
其中:
Δ变动资产=基期变动资产*销售增长率
Δ变动负债=基期变动负债*销售增长率
Δ留存收益=预测期销售净利率*预测期留存收益率*预测期销售额
在Δ非变动资产=0时,
对外筹资需要量
=Δ变动资产-Δ变动负债-Δ留存收益
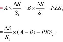
=基期变动资产*销售增长率-基期变动负债*销售增长率-销售净利率*留存收益率*预测期销售额
=销售额增长率*(基期变动资产-基期变动负债)-销售净利率*留存收益率*预测期销售额

环球网校会计职称辅导新增多种套餐五折优惠
2010年会计职称考试网络辅导招生简章 转自环球网校edu24ol.com
最新资讯
- 2026中级会计财务管理三色笔记:覆盖全书重点,精准分层2026-03-22
- 2026中级会计经济法全书知识点名称+对应分值汇总,背题抓分不盲目2026-03-21
- 26年中级会计实务各章节重点+思维导图,可直接下载!备考省80%时间2026-03-20
- 2026中级会计经济法:知识点+分值速览(免费下载,高效抓分)2026-03-20
- 2026中级会计财务管理必背公式汇总|可下载打印,记牢直接提分2026-03-19
- 2026中级会计三色笔记:实务+经济法+财管三科汇总,覆盖全书核心考点2026-03-19
- 2026中级财务管理公式汇总免费下载!告别死记硬背,计算不丢分2026-03-18
- 2026中级会计实务重点分录汇总免费领!告别死记硬背,应试必用2026-03-18
- 2026中级会计实务教材目录+重点章节提醒!2026-03-18
- 救命!2026中级会计财务管理三色笔记,公式+考点一站式搞定2026-03-14


