2011年《中级财务管理》辅导:筹资方式(3)
更新时间:2010-06-21 09:00:56
来源:|0
浏览
收藏
中级会计职称报名、考试、查分时间 免费短信提醒
或者:
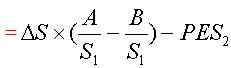
对外筹资需要量
=变动资产销售百分比*销售变动额-变动负债销售百分比*销售变动额-销售净利率*留存收益率*预测期销售额
=销售变动额*(变动资产销售百分比-变动负债销售百分比)-销售净利率*留存收益率*预测期销售额

式中:A为随销售变化的资产(变动资产);
B为随销售变化的负债(变动负债);
S1为基期销售额;S2为预测期销售额;转自环球网校edu24ol.com
ΔS为销售的变动额;
P为销售净利率;
E为留存收益比率,留存收益比率=1-股利支付率
为单位销售额所需的资产数量,即变动资产占基期销售额的百分比;
为单位销售额所产生的自然负债数量,即变动负债占基期销售额的百分比。
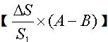
注意:1.若流动资产和流动负债均属于变动项目,则
为未来时期所需要增加的营运资金总计数。
2. 为内部筹集的资金,也就是当年留存收益总额
3.销售额比率法具体运用:
环球网校会计职称辅导新增多种套餐五折优惠
2010年会计职称考试网络辅导招生简章 转自环球网校edu24ol.com
编辑推荐
最新资讯
- 2026中级会计财务管理三色笔记:覆盖全书重点,精准分层2026-03-22
- 2026中级会计经济法全书知识点名称+对应分值汇总,背题抓分不盲目2026-03-21
- 26年中级会计实务各章节重点+思维导图,可直接下载!备考省80%时间2026-03-20
- 2026中级会计经济法:知识点+分值速览(免费下载,高效抓分)2026-03-20
- 2026中级会计财务管理必背公式汇总|可下载打印,记牢直接提分2026-03-19
- 2026中级会计三色笔记:实务+经济法+财管三科汇总,覆盖全书核心考点2026-03-19
- 2026中级财务管理公式汇总免费下载!告别死记硬背,计算不丢分2026-03-18
- 2026中级会计实务重点分录汇总免费领!告别死记硬背,应试必用2026-03-18
- 2026中级会计实务教材目录+重点章节提醒!2026-03-18
- 救命!2026中级会计财务管理三色笔记,公式+考点一站式搞定2026-03-14


