2011年《中级财务管理》:风险与收益分析(4)
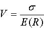
3.收益率的标准离差率 (V)
标准离差率,是资产收益率的标准差与期望值之比,,也称为“变异系数”

标准离差率是一个相对指标,它表示某资产每单位预期收益中所包含的风险的大小。
注意:
(1)标准差和方差都是用绝对指标来衡量资产的风险大小,在预期收益率相同的情况下,标准差或方差越大,则风险越大;标准差或方差越小,则风险也越小。
标准差或方差指标衡量的是风险的绝对大小,因而不适用于比较具有不同预期收益率的资产的风险。
(2)一般情况下,标准离差率越大,资产的相对风险越大;相反,标准离差率越小,资产的相对风险越小。标准离差率指标可以用来比较预期收益率不同的资产之间的风险大小。
【03年单选】已知甲方案投资收益率的期望值为15%,乙方案投资收益率的期望值为12%,两个方案都存在投资风险。比较甲、乙两方案风险大小应采用的指标是( )。
A.方差 B.净现值 C.标准离差 D.标准离差率
答案:D
计算题见教材
【例2-4】某公司正在考虑以下三个投资项目,其中A和B是两只不同公司的股票,而C项目是投资于一家新成立的高科技公司,预测的未来可能的收益率情况如表2-2所示。
表2-2 投资项目未来可能的收益率情况表
|
经济形势 |
概率 |
项目A收益率 |
项目B收益率 |
项目C收益率 |
|
很不好 |
0.1 |
-22.0% |
-10.0% |
-100% |
|
不太好 |
0.2 |
-2.0% |
0.0% |
-10% |
|
正常 |
0.4 |
20.0% |
7.0% |
10% |
|
比较好 |
0.2 |
35.0% |
30.0% |
40% |
|
很好 |
0.1 |
50.0% |
45.0% |
120% |
试计算各项目的预期收益、标准差和标准离差率,并比较各项目风险的大小。
解答:
(1)项目的预期收益率:
预期收益率E(R)=![]()
每个项目的预期收益率:
E(RA)=(-22%)×0.1+(-2%)×0.2+20%×0.4+35%×0.2+50%×0.1=17.4%
E(RB)=(-10%)×0.1+0×0.2+7%×0.4+30%×0.2+45%×0.1=12.3%
E(RC)=(-100%)×0.1+(-10%)×0.2+10%×0.4+40%×0.2+120%×0.1=12%
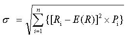
(2)项目标准差
A项目标准差
![]()
=20.03%
B项目标准差
=
=16.15%
C项目标准差=51.73%
(3)项目标准离差率
标准离差率

A项目标准离差率=20.03%÷17.4%≈1.15
B项目标准离差率=16.15%÷12.3%≈1.31
C项目标准离差率=51.73%÷12%≈4.31
由于A、B的预期收益率不同,所以需要通过比较标准离差率来判断风险,A项目的标准离差率小于B项目的标准离差率,所以A项目的风险小于B项目的风险,B项目的风险小于C项目的风险。
环球网校会计职称辅导新增多种套餐五折优惠
2010年会计职称考试网络辅导招生简章 转自环球网校edu24ol.com
最新资讯
- 2026中级会计备考资料包+考试日程+报考时间,三合一汇总,备考必看2026-04-30
- 2026中级会计三科高频考点+三色笔记,全书重点汇总,备考直接用2026-04-30
- 2026中级会计高频考点三色笔记已打包,搭配科目技巧,现在背还来得及2026-04-24
- 救命!2026中级会计经济法速记口诀50条,背会直接拿捏法条2026-03-24
- 2026中级会计经济法速记口诀50条|可下载打印,法条速记不费脑2026-03-23
- 2026中级会计财务管理速记口诀50条(可下载),公式/考点秒记,告别死背2026-03-23
- 2026中级会计财务管理100母题汇总(可下载打印),公式+真题同源,高效提分2026-03-23
- 2026中级会计经济法100母题汇总(可下载+含解析),背会稳冲60+2026-03-23
- 2026中级会计实务100母题汇总(可下载+含解析),吃透稳提20分2026-03-23
- 2026中级会计财务管理三色笔记:覆盖全书重点,精准分层2026-03-22


