2012年中级财务管理 预习辅导:第三章节(2)
更新时间:2011-07-26 09:11:16
来源:|0
浏览
收藏
中级会计职称报名、考试、查分时间 免费短信提醒
(三)年金的终值与现值
年金是指一定时期内每次等额收付的系列款项,通常记作A。
系列等额收付的间隔期间只需要满足“相等”调节即可,间隔期完全可以不是一年。
年金按其每次收付款项发生的时点不同,可以分为普通年金、即付年金、递延年金、永续年金等类型。
①普通年金与即付年金是年金的基本形式,都是从第一期开始发生等额收付,两者的区别是普通年金发生在期末,即付年金发生在期初
②递延年金和永续年金是派生出来的年金。递延年金是从第二期或第二期以后才发生,而永续年金的收付期趋向无穷大。
1.普通年金
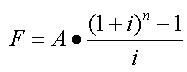
普通年金是指从第一期起,在一定时期内每期期末等额收付的系列款项,又称为后付年金。其形式如下图:

利用复利将每期年金折到第n年末
F=A+A(1+i)+A(1+i)2+ …+A(1+i)n-1 (1)
将此公式两边都乘以(1+i),
F(1+i)=A(1+i)+ A(1+i)2+ …+A(1+i)n (2)
(2)-(1)
F i= A(1+i)n- A,整理后得

注意:
①式中
称作"年金终值系数",记作(F/A,i,n)。
②年金终值系数与复利终值系数关系如下:

【例3-5】
小王是位热心于公众事业的人,自1995年12月底开始,他每年都要向一位失学儿童捐赠。小王向这位失学儿童每年捐款1000元,帮助这位失学儿童从小学一年级读完九年义务教育。假设每年定期存款利率都是2%,则小王九年捐款在2003年底相当于多少钱?
分析:
每年年末支付1000元的款项,总计支付了9年,属于普通年金的形式,已知普通年金,求普通年金终值,利用(F/A,i,n)计算。
编辑推荐
最新资讯
- 救命!2026中级会计财务管理三色笔记,公式+考点一站式搞定2026-03-14
- 中级会计实务教材目录:25章全梳理+重点章节拆解2026-03-13
- 备考2026中级会计实务,重点分录汇总来了,轻松搞定分录难题2026-03-09
- 2026年中级会计财务管理哪几章是核心备考必攻难点2026-03-03
- 2026中级会计实务必背:长期股权投资权益法核心考点全解2026-03-03
- 2026中级会计经济法必背:股份有限公司股东会核心考点速记2026-03-03
- 2026中级会计实务/财管/经济法三色笔记核心考点汇总2026-03-03
- 速存!2026中级会计三科三色笔记汇总 全年备考通用2026-03-02
- 2026年中级会计实务教材目录及备考规划2026-03-02
- 26年女神节专属|环球网校中级会计课程全场5折起,赠备考通关大礼包!2026-03-02


