2012年中级财务管理 预习辅导:第三章节(3)
更新时间:2011-07-26 09:11:52
来源:|0
浏览
收藏
中级会计职称报名、考试、查分时间 免费短信提醒
2.偿债基金计算
是指为了在约定的未来一定时点清偿某笔债务或积聚一定数额的资金而必须分次等额提取的存款准备金。(已经普通年金终值,求普通年金)
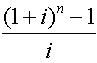
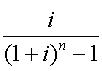
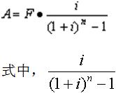
偿债基金与年金终值互为逆运算,其计算公式为:
称作"偿债基金系数",记作(A/F,i,n)
结论:
(1)年偿债基金与普通年金终值互为逆运算
(2)偿债基金系数
与普通年金终值系数
互为倒数
【例3-7】
某人拟在5年后还清10000元的债务,从现在起每年末等额存入银行一笔款项。假设银行利率为10%,则每年需存入多少元?
分析:已知普通年金终值,求普通年金。
编辑推荐
下一篇:初级会计职称《经济法》数字巧计法
最新资讯
- 救命!2026中级会计财务管理三色笔记,公式+考点一站式搞定2026-03-14
- 中级会计实务教材目录:25章全梳理+重点章节拆解2026-03-13
- 备考2026中级会计实务,重点分录汇总来了,轻松搞定分录难题2026-03-09
- 2026年中级会计财务管理哪几章是核心备考必攻难点2026-03-03
- 2026中级会计实务必背:长期股权投资权益法核心考点全解2026-03-03
- 2026中级会计经济法必背:股份有限公司股东会核心考点速记2026-03-03
- 2026中级会计实务/财管/经济法三色笔记核心考点汇总2026-03-03
- 速存!2026中级会计三科三色笔记汇总 全年备考通用2026-03-02
- 2026年中级会计实务教材目录及备考规划2026-03-02
- 26年女神节专属|环球网校中级会计课程全场5折起,赠备考通关大礼包!2026-03-02


