2012年中级财务管理 预习辅导:第三章节(11)
第二节 普通股及其评价
本节大纲要求:
掌握股票收益率的计算,普通股的评价模型
本节具体内容:
一、股票与股票收益率
(一)股票的价值与价格
股票,是股份公司发行的、用以证明投资者的股东身份和权益,并据以获得股利的一种可转让的有价证券。
(1).股票的价值形式
股票的价值形式有票面价值、账面价值、清算价值和市场价值。
(2).股票的价格
股票价格有广义和狭义之分。
狭义的股票价格就是股票交易价格;
广义的股票价格则包括股票的发行价格和交易价格两种形式。股票交易价格具有事先的不确定性和市场性特点。
(3).股价指数
股价指数,用以表示多种股票平均价格水平及其变动,并权衡股市行情的指标。股价指数的计算方法有简单算术平均法、综合平均法、几何平均法和加权综合法等。
(二).股票的收益率
股票的收益,是指投资者从购入股票开始到出售股票为止整个持有期间的收入,
由股利和资本利得两方面组成。
股票收益率是股票收益额与购买成本之比。
股票收益率主要有本期收益率、持有期收益率两种。
1.本期收益率
本期收益率=年现金股利/本期股票价格×100%
式中,年现金股利是指发放的上年每股股利;
本期股票价格是指该股票当日证券市场收盘价。
2.持有期收益率
是指投资者买入股票持有一定时期后又将其卖出,在投资者持有该股票期间的收益率,反映了股东持有股票期间的实际收益情况。
①如投资者持有股票的时间不超过1年,不考虑复利计息问题,其持有期收益率可按如下公式计算:

持有期年均收益率=持有期收益率/持有年限
持有年限=股票实际持有天数/360
或:持有年限=股票实际持有月数/12
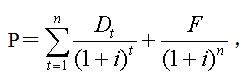
②如股票持有时间超过1年,则需要按每年复利一次考虑资金时间价值,其持有期年均收益率可按如下公式计算:

式中,i为股票的持有期年均收益率;
P为股票的购买价格;
F为股票的售出价格;
Dt为各年分得的股利;
n为投资期限。
最新资讯
- 救命!2026中级会计经济法速记口诀50条,背会直接拿捏法条2026-03-24
- 2026中级会计经济法速记口诀50条|可下载打印,法条速记不费脑2026-03-23
- 2026中级会计财务管理速记口诀50条(可下载),公式/考点秒记,告别死背2026-03-23
- 2026中级会计财务管理100母题汇总(可下载打印),公式+真题同源,高效提分2026-03-23
- 2026中级会计经济法100母题汇总(可下载+含解析),背会稳冲60+2026-03-23
- 2026中级会计实务100母题汇总(可下载+含解析),吃透稳提20分2026-03-23
- 2026中级会计财务管理三色笔记:覆盖全书重点,精准分层2026-03-22
- 2026中级会计经济法全书知识点名称+对应分值汇总,背题抓分不盲目2026-03-21
- 26年中级会计实务各章节重点+思维导图,可直接下载!备考省80%时间2026-03-20
- 2026中级会计经济法:知识点+分值速览(免费下载,高效抓分)2026-03-20


