2012年中级财务管理 预习辅导:第七章(3)
2. 销售额比率法计算公式$lesson$
依据“Δ资金占用=Δ资金来源”预测
Δ资金占用=Δ资产
=Δ变动资产+Δ非变动资产
Δ资金来源=Δ变动负债+Δ留存收益+对外筹资需要量
所以:
Δ变动资产+Δ非变动资产=Δ变动负债+Δ留存收益+对外筹资需要量
整理得:
对外筹资需要量=Δ变动资产+Δ非变动资产-Δ变动负债-Δ留存收益
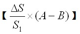
=【(Δ变动资产--Δ变动负债)+Δ非变动资产】-Δ留存收益
=Δ资金需求-Δ留存收益
其中:
Δ变动资产=基期变动资产*销售增长率
Δ变动负债=基期变动负债*销售增长率
Δ留存收益=预测期销售净利率*预测期留存收益率*预测期销售额
在Δ非变动资产=0时,
对外筹资需要量
=Δ变动资产-Δ变动负债-Δ留存收益
=基期变动资产*销售增长率-基期变动负债*销售增长率-销售净利率*留存收益率*预测期销售额
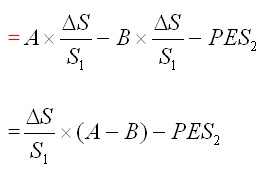
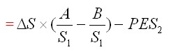
=销售额增长率*(基期变动资产-基期变动负债)-销售净利率*留存收益率*预测期销售额

或者:
对外筹资需要量
=变动资产销售百分比*销售变动额-变动负债销售百分比*销售变动额-销售净利率*留存收益率*预测期销售额
=销售变动额*(变动资产销售百分比-变动负债销售百分比)-销售净利率*留存收益率*预测期销售额

式中:A为随销售变化的资产(变动资产);
B为随销售变化的负债(变动负债);
S1为基期销售额;S2为预测期销售额;
ΔS为销售的变动额;
P为销售净利率;
E为留存收益比率,留存收益比率=1-股利支付率
为单位销售额所需的资产数量,即变动资产占基期销售额的百分比;
为单位销售额所产生的自然负债数量,即变动负债占基期销售额的百分比。
注意:1.若流动资产和流动负债均属于变动项目,则
为未来时期所需要增加的营运资金总计数。
2. PES2为内部筹集的资金,也就是当年留存收益总额
最新资讯
- 救命!2026中级会计经济法速记口诀50条,背会直接拿捏法条2026-03-24
- 2026中级会计经济法速记口诀50条|可下载打印,法条速记不费脑2026-03-23
- 2026中级会计财务管理速记口诀50条(可下载),公式/考点秒记,告别死背2026-03-23
- 2026中级会计财务管理100母题汇总(可下载打印),公式+真题同源,高效提分2026-03-23
- 2026中级会计经济法100母题汇总(可下载+含解析),背会稳冲60+2026-03-23
- 2026中级会计实务100母题汇总(可下载+含解析),吃透稳提20分2026-03-23
- 2026中级会计财务管理三色笔记:覆盖全书重点,精准分层2026-03-22
- 2026中级会计经济法全书知识点名称+对应分值汇总,背题抓分不盲目2026-03-21
- 26年中级会计实务各章节重点+思维导图,可直接下载!备考省80%时间2026-03-20
- 2026中级会计经济法:知识点+分值速览(免费下载,高效抓分)2026-03-20

