2012年初级会计实务 复习辅导:第十一章(5)
更新时间:2012-03-12 09:07:06
来源:|0
浏览
收藏
中级会计职称报名、考试、查分时间 免费短信提醒
(三)年金终值和现值的计算
年金:一定时期内等额、定期的系列收支。具有两个特点:一是金额相等;二是时间间隔相等。

【例10-单选】(2010)2007年1月1日,甲公司租用一层写字楼作为办公场所,租赁期限为3年,每年12月31日支付租金10万元,共支付3年。该租金有年金的特点,属于( )。
A.普通年金 B.即付年金
C.递延年金 D.永续年金
【答案】A
1.普通年金――后付年金
(1)后付年金终值:一定时期内每期期末等额收付款项的复利终值之和。

推导过程:
利用复利将每期年金折到第n年末,F=A+A(1+i)+A(1+i)2+ …+A(1+i)n-1 (1)
将此公式两边都乘以(1+i),F(1+i)=A(1+i)+ A(1+i)2+ …+A(1+i)n (2)
(2)-(1) F*i= A(1+i)n- A,整理得
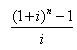
F=A×
=A×(F/A,i,n)=A×普通年金终值系数
为年金终值系数,记作(F/A,i,n)。
编辑推荐
最新资讯
- 2026中级会计财务管理三色笔记:覆盖全书重点,精准分层2026-03-22
- 2026中级会计经济法全书知识点名称+对应分值汇总,背题抓分不盲目2026-03-21
- 26年中级会计实务各章节重点+思维导图,可直接下载!备考省80%时间2026-03-20
- 2026中级会计经济法:知识点+分值速览(免费下载,高效抓分)2026-03-20
- 2026中级会计财务管理必背公式汇总|可下载打印,记牢直接提分2026-03-19
- 2026中级会计三色笔记:实务+经济法+财管三科汇总,覆盖全书核心考点2026-03-19
- 2026中级财务管理公式汇总免费下载!告别死记硬背,计算不丢分2026-03-18
- 2026中级会计实务重点分录汇总免费领!告别死记硬背,应试必用2026-03-18
- 2026中级会计实务教材目录+重点章节提醒!2026-03-18
- 救命!2026中级会计财务管理三色笔记,公式+考点一站式搞定2026-03-14

