中级财务管理 知识点:资本成本与资本结构(2)
更新时间:2012-04-12 09:41:40
来源:|0
浏览
收藏
中级会计职称报名、考试、查分时间 免费短信提醒
4、融资租赁资本成本
融资租赁各期的租金中,包含有本金每期的偿还和各期手续费用(即租赁公司的各期利润),其资本成本率只能按贴现模式计算。
5、普通股资本成本
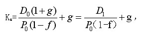
(1)股利增长模型法
假定资本市场有效,股票市场价格与价值相等。假定某股票本期支付的股利为D0,未来各期股利按g速度增长。目前股票市场价格为P0,则普通股资本成本为:

(2)资本资产定价模型法
假定资本市场有效,股票市场价格与价值相等。假定无风险报酬率为Rf,市场平均报酬率为Rm,某股票贝塔系数β,则普通股资本成本为:
Ks=Rs=Rf+β(Rm-Rf)
【例3-11】某公司普通股β系数为1.5,此时一年期国债利率5%,市场平均报酬率15%,则该普通股资本成本率:
Ks=5%+1.5×(15%-5%)=20%
6、留存收益资本成本
留存收益的资本成本率,表现为股东追加投资要求的报酬率,其计算与普通股成本相同,也分为股利增长模型法和资本资产定价模型法,不同点在于不考虑筹资费用。
2012年会计职称辅导招生简章 2012年考试时间10月27日至28日
编辑推荐
最新资讯
- 2026中级会计财务管理三色笔记:覆盖全书重点,精准分层2026-03-22
- 2026中级会计经济法全书知识点名称+对应分值汇总,背题抓分不盲目2026-03-21
- 26年中级会计实务各章节重点+思维导图,可直接下载!备考省80%时间2026-03-20
- 2026中级会计经济法:知识点+分值速览(免费下载,高效抓分)2026-03-20
- 2026中级会计财务管理必背公式汇总|可下载打印,记牢直接提分2026-03-19
- 2026中级会计三色笔记:实务+经济法+财管三科汇总,覆盖全书核心考点2026-03-19
- 2026中级财务管理公式汇总免费下载!告别死记硬背,计算不丢分2026-03-18
- 2026中级会计实务重点分录汇总免费领!告别死记硬背,应试必用2026-03-18
- 2026中级会计实务教材目录+重点章节提醒!2026-03-18
- 救命!2026中级会计财务管理三色笔记,公式+考点一站式搞定2026-03-14

