证券投资分析复习资料:现金流贴现模型
更新时间:2009-10-19 15:27:29
来源:|0
浏览
收藏
证券从业资格报名、考试、查分时间 免费短信提醒
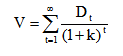
贴现现金流模型是运用收入的资本化定价方法来决定普通股票的内在价值的。按照收入的资本化定价方法,任何资产的内在价值是由拥有这种资产的投资者在未来时期中所接受的现金流决定的。由于现金流是未来时期的预期值,因此必须按照一定的贴现率返还成现值,也就是说,一种资产的内在价值等于预期现金流的贴现值。对于股票来说,这种预期的现金流即在未来时期预期支付的股利,因此,贴现现金流模型的公式为:

V――股票在期初的内在价值
Dt――时期t的现金股利
k――一定风险程度下现金流的合适的贴现率(也称“必要收益率”)
更多证券从业资格考试信息请关注:
证券从业资格考试网上辅导招生简章
环球网校证券从业资格考试频道
百度证券从业资格考试
编辑推荐
下一篇:证券投资分析复习资料:零增长模型
最新资讯
- 2022年证券从业金融基础知识重点2022-06-27
- 2022年证券从业资格证资料大全2022-06-22
- 2022年证券从业资格考试重点整理2022-06-21
- 2022年证券从业资格考试备考资料2022-06-01
- 2022年证券从业资格考试数字汇总2022-05-30
- 2022年证券从业考试资料大全2022-05-24
- 2022年证券从业资格考试重难点2022-05-18
- 2022年证券从业资格考试罚款整理2022-05-12
- 2022年证券从业资格考试笔记2022-05-04
- 2022年证券从业考试资料最新版2022-04-29