证券发行与承销辅导:可转换公司债券(七)
(二)可转换公司债券的价值 $lesson$
可转换公司债券实质上是一种由普通债权和股票期权两个基本工具构成的复合融资工具,投资者购买可转换公司债券等价于同时购买了一个普通债券和一个对公司股票的看涨期权。正是由于可转换公司债券中的股票期权,给债券的定价带来了很大困难。
可转换公司债券的价值可以近似地看作是普通债券与股票期权的组合体:
⑴由于可转换公司债券的持有者可以按照债券上约定的转股价格,在转股期内行使转股权利,这实际上相当于以转股价格为期权执行价格的美式买权,一旦市场价格高于期权执行价格,债券持有者就可以行使美式买权从而获利。
⑵由于发行人在可转换公司债券的赎回条款中规定,如果股票价格连续若干个交易日收盘价高于某一赎回启动价格(该赎回启动价要高于转股价格),发行人有权按一定金额予以赎回。所以,赎回条款相当于债券持有人在购买可转换公司债券时就无条件出售给发行人的1张美式买权。当然,发行人期权存在的前提是债券持有人的期权还未执行,如果债券持有人实施转股,发行人的赎回权对该投资者也归于无效。
⑶由于可转换公司债券中的同售条款规定,如果股票价格连续若干个交易日收盘价低于某一回售启动价格(该网售启动价要低于转殷价格),债券持有人有权按一定金额回售给发行人。所以,回售条款相当于债券持有人同时拥有发行人出售的1张美式卖权。
综上所述,可转换公司债券相当于这样一种投资组合:投资者持有1张与可转债相同利率的普通债券,1张数量为转换比例、期权行使价为初始转股价格的美式买权,1张美式卖权,同时向发行人无条件出售了1张美式买权。所以,可转换公司债券的价值可以用以下公式近似表示:
可转换公司债券价值≈纯粹债券价值+投资人美式买权价值+投资人美式卖权价值―发行人美式买权价值
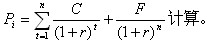
1.对于普通债券部分。由于可转换公司债券的债息收入固定,可以采用现金流贴现法来确定纯债券的价值,即将未来一系列债息加上面值按一定的市场利率折成的现值,可由公式:

2.对于股票期权部分,目前有两种定价方法。(了解其概念)
⑴布莱克一斯科尔斯(Black Scholes)期权定价模型。1973年.经济学家Fisher Black与Myron Scholes发表了《期权定价和公司债务》的著名论文,在文中提出了动态对冲的概念,建立了欧式期权定价的解析表达式,即Black―Scholes期权定价模型。
⑵二树期权定价模型。1979年,经济学家Cox,Ross和Robinstein发表了《期权定价:一种简化的方法》的论文,提出了二叉树模型(Bino-mial Model)。该模型建立了期权定价数值算法的基础,解决了美式期权的定价问题。模型以发行日为基点,模拟转股起始日基础股票的可能价格以及出现这些价格的概率,然后确定在各种可能价格下的期权价值,最后计算期权的期望值并进行贴现求得期权价值。根据我国可转换公司债券发行的特点,采用二叉树模型进行定价方法较为可行。
更多信息:证券从业资格考试频道 证券从业资格考试论坛
最新资讯
- 2022年证券从业金融基础知识重点2022-06-27
- 2022年证券从业资格证资料大全2022-06-22
- 2022年证券从业资格考试重点整理2022-06-21
- 2022年证券从业资格考试备考资料2022-06-01
- 2022年证券从业资格考试数字汇总2022-05-30
- 2022年证券从业考试资料大全2022-05-24
- 2022年证券从业资格考试重难点2022-05-18
- 2022年证券从业资格考试罚款整理2022-05-12
- 2022年证券从业资格考试笔记2022-05-04
- 2022年证券从业考试资料最新版2022-04-29