投资分析 学习指导:套利定价理论(1)
更新时间:2011-09-15 11:25:01
来源:|0
浏览
收藏
证券从业资格报名、考试、查分时间 免费短信提醒
熟悉套利定价理论的基本原理,掌握套利组合的概念及计算,能够运用套利定价方程计算证券的期望收益率,熟悉套利定价模型的应用。$lesson$
一、套利定价模型的基本原理:
20世纪70年代,由罗斯提出。
(一)基本假定――比CAPM宽松
主要:证券或组合的收益由单因素决定
(二)套利机会与套利定价
实现套利目的的手段便是构造套利组合。
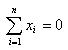
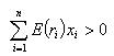
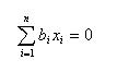
1. 对任何因素都没有敏感性

2. 不需要投资者任何额外资金
3. 套利利润为正

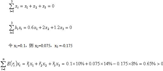
例:
设想一个投资者拥有三种证券,其投资于每种证券的当前市值均为50000元,此时该投资者可投资的财富为150000元。这三种证券的预期回报率和敏感性如表所示。
表 预期回报率与敏感性值


(三)套利定价模型
单因素套利定价模型:P345(7.18)
多因素套利定价模型:P346(7.19)
二、套利定价模型的应用
1、确定影响证券的主要因素
2、预测证券收益
更多信息:证券从业资格考试频道 证券从业资格考试论坛
编辑推荐
最新资讯
- 2022年证券从业金融基础知识重点2022-06-27
- 2022年证券从业资格证资料大全2022-06-22
- 2022年证券从业资格考试重点整理2022-06-21
- 2022年证券从业资格考试备考资料2022-06-01
- 2022年证券从业资格考试数字汇总2022-05-30
- 2022年证券从业考试资料大全2022-05-24
- 2022年证券从业资格考试重难点2022-05-18
- 2022年证券从业资格考试罚款整理2022-05-12
- 2022年证券从业资格考试笔记2022-05-04
- 2022年证券从业考试资料最新版2022-04-29