2015证券从业资格《投资分析》模拟测试一[答案]
答案及解析
一、单项选择题
1.C。【解析】在投资决策时,投资者应当正确认识每一种证券在风险性、收益性、流动性和时间性方面的特点,借此选择风险性、收益性、流动性和时间性同自己的要求相匹配的投资对象,并制定相应的投资策略。
2.C。【解析】证券投资分析有三个基本要素:信息、步骤和方法。
3.D。【解析】在股票下跌之前,可以投资于股票(高风险资产)的金额:3×(90-70)=60(万元),其余30万元投资于国债。股票下跌20%后 (股票市值变为48万元),总资产=48+30=78(万元),此时,投资股票的金额相应变为:3×(78-70)=24(万元),投资国债的金额变为:78-24=54(万元)。
4.B。【解析】消极投资策略,包括指数化投资策略、久期免疫策略、现金流匹配策略、阶梯形组合策略、哑铃型组织策略等。A、C、D项属于积极投资策略。
5.C。【解析】根据《中华人民共和国证券法》的规定,证券交易所是为证券集中交易提供场所和设施,组织和监督证券交易、实行自律管理的法人。主要负责提供证券交易的场所和设施,制定证券交易所的业务规则,接受上市申请,安排证券上市,组织、监督证券交易,对会员、上市公司进行监管等事宜。调查、处罚证券市场上的违法违规行为是证券监管部门的职责。
6.C。【解析】作为信息发布主体,上市公司所公布的有关信息是投资者对其证券进行价值判断的最重要来源。
7.C。
8.C。【解析】债券交易中,报价是指每100元面值债券的价格,分为全价报价和净利报价两种。
9.A。【解析】根据定义,债券的贴现率是投资者对该债券要求的最低回报率,也称为必要回报率。其计算公式为:债券必要回报率=真实无风险收益率+预期通货膨胀率+风险溢价。
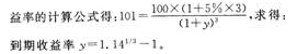
10.B。【解析】因为该债券为一次还本利息,根据到期收

11.D。【解析】拱形利率曲线表示期限相对较短的债券,利率与期限呈正向关系;期限相对较长的债券,利率与期限呈反向关系。
12.B。【解析】内部收益率是指使得投资净现值等于零的贴现率,实。际上是使得未来股息流贴现值恰好等于股票市场价格的贴现率。
13.C。【解析】期货的理论价格公式如下:设t为现在

14.B。【解析】转换平价=可转换证券的市场价格/转换比例=1 000/50=20(元)。当该公司普通股股票市场价格超过20元时,即可转换证券持有人转股前所持有的可转换证券的市场价值小于实施转股后所持有的标的股票资产的市价总值,因此如不考虑标的股票价格未来变化,此时转股对持有人有利。当该公司普通股股票市场价格为30元时,该可转换债券的转换价值一标的股票市场价格×转换比例=30×50=1 500(元)。
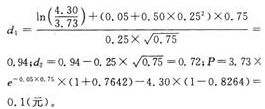
15.D。【解析】由认沽权证的理论价值的公式可得:

编辑推荐:
环球网校友情提示:如果您在此过程中遇到任何疑问,请登录环球网校证券从业资格频道或论坛,随时与广大考生朋友们一起交流!
16.A。【解析】在一个时期内,国际储备中可能发生较大变动的主要是外汇储备。
17.A。【解析】GDP的计算公式有以下形式:
(1)GDP=GNP-本国居民在国外的收入+外国居民在本国的收入=GNP-(本国生产要素在国外取得的收入-本国付给外国生产要素的收入)=GNP-国外要素收入净额;(2)GDP=C+I+G+(X-M)。
18.B。【解析】恶性通货膨胀是指三位数以上的通货膨胀。
19.C。【解析】财政向银行借款弥补赤字,如果银行不因此而增发货币,只是把本来应该增加贷款的数量借给财政使用,那么财政赤字同样不会使需求总量增加。
20.A。【解析】中国证监会于2001年4月4日公布了《上市公司行业分类指引》。它是以中国国家统计局《国民经济行业分类与代码》(国家标准GB/T4754--94)为主要依据,借鉴联合国国际标准产业分类、北美行业分类体系有关内容的基础上制定而成的。
21.A。【解析】新《国民经济行业分类》国家标准(GB/T4754--2002)将国民经济分为行业门类20个,行业大类95个,行业中类396个,行业小类913个。
22.D。【解析】垄断竞争型市场中有大量企业,但没有一个企业能有效影响其他企业的行为。该市场结构中,造成垄断现象的原因是产品差别,造成竞争现象的是产品同种,即产品的可替代性。
23.A。【解析】根据行业成长的定义,行业的成长实际上就是行业的扩大再生产。成长能力主要体现在以下方面:生产能力和规模的扩张、区域的横向渗透能力以及自身组织结构的变革能力。
24.C。【解析】根据时间数列自相关系数,便可以对时间数列的性质和特征作出判别。如果所有的自相关系数都近似地等于零,表明该时间数列属于随机性时间数列。
25.B。【解析】调查研究法的优点是可以获得最新的资料和信息,并且研究者可以主动提出问题并获得解释,适合对一些相对复杂的问题进行研究时采用。
26.B。【解析】一般认为,公司财务评价的内容主要有盈利能力,其次是偿债能力,此外还有成长能力。它们之间大致可按5:3:2来分配比重。
27.D。【解析】在营运指数的计算中,非经营收益涉及处置固定资产、无形资产和其他资产的损失,固定资产报废损失,财务费用,投资损失等项目。
28.B。【解析】有形资产净值债务率=

29.A。【解析】财务比率[(现金+交易性金融资产+应收账款+应收票据)/流动负债]被称为超速动比率。
30.D。【解析】由总资产周转率的计算公式可知,其与A、B、C项有关。
编辑推荐:
环球网校友情提示:如果您在此过程中遇到任何疑问,请登录环球网校证券从业资格频道或论坛,随时与广大考生朋友们一起交流!
31.C。【解析】该公司的营业收入=营业成本÷(1―20%)=20 000(万元);再根据流动资产周转率计

32.C。【解析】A项属于长期偿债能力分析指标;B项属于现金流量分析中的财务弹性分析指标;D项属于现金流量分析中的获取现金能力分析指标。
33.D。【解析】今日的AD1=昨日的AD1+当天所有股票中上涨的家数-当天所有股票中下跌的家数=100+70-30=140。
34.A。【解析】詹森指数是指证券组合所获得的高于市场的那部分风险溢价,从直观上看,詹森指数代表证券组合与证券市场线之间的落差。
35.D。【解析】0BV线与股价都上升时,可确认上升的趋势。
36.B。【解析】BIAS是测算股价与移动平均线偏离程度的指标,其基本原理是:如果股价偏离移动平均线太远,不管是在移动平均线上方或下方,都有向平均线回归的要求。
37.B。【解析】根据股票的上涨家数和下跌家数的比值,推断证券市场多空双方力量的对比,进而判断出证券市场的实际情况的指标是ADR。
38.D。【解析】PSY是从投资者心理的买卖趋向心理方面,将一定时期内投资者看多或看空的心理事实转化为数值,来研判股价未来走势的技术指标。由PSY的计算公式可知,可知本题选D项。
39.B。【解析】KDJ指标又称随机指标。
40.D。【解析】根据多空双方力量对比可能发生的变化,可以知道股价的移动应该遵循这样的规律:(1)股价应在多空双方取得均衡的位置上下来回波动; (2)原有的平衡被打破后,股价将寻找新的平衡位置。这种股价移动的规律可用下形式描述:持续整理、保持平衡一打破平衡一新的平衡一再打破平衡一再寻找新的平衡一……
41.C。

42.B。【解析】首先,根据股票现金流估价模型中的不变增长模型,得出A公司股票当前的合理价格P0

43.A。【解析】A项属于选择性政策工具。
44.A。【解析】马柯威茨分别用期望收益率和收益率的方差来衡量投资的预期收益水平和不确定性(风险),建立均值方差模型来阐述如何全盘考虑上述两个目标,从而进行决策。然而这种方法所面临的最大问题是其计算量太大。1963年,威廉?夏普提出了一种简化的计算方法,这一方法通过建立“单因素模型”来实现。
45.B。【解析】如果P位于F与T之间,表明该投资者将全部资产投资于无风险证券F和证券组合T;如果P位于T的右侧,表明卖空F,并将所有的资金与原有资金一起全部投资到风险证券组合T上。
编辑推荐:
环球网校友情提示:如果您在此过程中遇到任何疑问,请登录环球网校证券从业资格频道或论坛,随时与广大考生朋友们一起交流!
46.B。【解析】根据特雷诺指数公式,有:5%=(15%-rF)/1.35,求得:rF=8.25%。
47.B。【解析】题干中描述的是市场内部价差掉换的名义。
48.D。【解析】为了使现货头寸的风险被期货头寸尽可能完全抵消,需要比较精确地测量二者的涨跌关系。因此,一个证券组合与指数的涨跌关系通常是依据资本资产定价模型予以确定。
49.A。【解析】组合与分解技术又称为复制技术,即用一种(或一组)金融工具来复制另一种(或一组)金融工具,其要点是使复制组合的现金流与被复制组合的现金流特征完全一致,复制组合与被复制组合可以完全实现对冲。
50.D。【解析】20世纪80年代中期,伦敦银行出现的金融工程师主要是为公司的风险暴露提供结构化的解决方案。他们采取新的策略研究风险管理,对风险的管理产生了金融工程,因此,金融工程起源于风险管理。风险管理是金融工程的核心内容之一。
51.C。【解析】股指期货的套利有两种类型:一是在期货和现货之间套利,称之为期现套利;二是在不同的期货合约之间进行的价差交易套利,其又可以细分为市场内价差套利、市场问价差套利和跨品种价差套利。
52.D。【解析】股指期货套利要求股指期货和股票买卖同步进行,任何时间上的偏差都会造成意料不到的损失。但由于网络故障、软件故障、行情剧烈波动或人为失误导致套利交易仅单方面成交,就会使资产暴露在风险之中。D项属于资金风险。
53.D。【解析】完全估值法是通过对各种情景下投资组合的重新定价来衡量风险。历史模拟法和蒙特卡罗模拟法是典型的完全估值法。局部估值法是通过仅在资产组合的初始状态做一次估值,并利用局部求导来推断可能的资产变化而得出风险衡量值。德尔塔一正态分布法就是典型的局部估值法。
54.D。【解析】城乡居民储蓄存款余额不包括单位存款。
55.A。【解析】2005年4月29目,中国证监会发布《关于上市公司股权分置改革试点有关问题的通知》标志着股权分置改革正式启动。
56.C。【解析】内部控制以重点防范传播虚假信息、误导投资者、无资格执业、违规执业以及利益冲突等风险为目标。因此,从内部控制的角度看,证券投资咨询业务的规范以执业回避、信息披露和隔离墙等制度为主,其中隔离墙是内控制度的重点。C选项符合题意。
57.B。【解析】《发布证券研究报告暂行规定》对防范发布证券研究报告与证券资产管理业务之间的利益冲突作出规定。该法规规定,证券公司、证券投资咨询机构应当严格执行发布证券研究报告与其他证券业务之间的隔离墙制度,防止存在利益冲突的部门及人员利用发布证券研究报告牟取不当利益。
58.B。【解析】套期保值的原则之一是月份相同或相近原则。故本题选B项。
59.D。【解析】国际通用知识考试包括基础考试(9小时、3份试卷)和最终资格考试(6小时、2份试卷)。其中,基础知识考试教材采用瑞士协会所编的教材,其考试课程及内容认可有效期限为5年。
60.C。【解析】2011年1月,证券分析师与投资顾问正式划分为两类具有证券投资咨询执业资格人员后,有关部门将分别制定两类人员的职业道德准则。在此之前,原使用于证券分析师的职业道德准则对投资顾问应同样具有执业约束力。由此可知,本题选C项。
编辑推荐:
环球网校友情提示:如果您在此过程中遇到任何疑问,请登录环球网校证券从业资格频道或论坛,随时与广大考生朋友们一起交流!
二、多项选择题
1.ABC。【解析】常见的战术性投资策略包括:交易型策略、多一空组合策略、事件驱动型策略。D项属于战略性投资策略。
2.AB。【解析】基本分析流派的分析方法体系体现了以价值分析理论为基础、以统计方法和现值计算方法为主要分析手段的基本特征。它的两个假设为:股票的价值决定其价格和股票的价格围绕价值波动。
3.AB。【解析】滞后性指标,这类指标的变化一般滞后于国民经济的变化,如失业率、库存量、银行未收回贷款规模等。C项属于先行性指标,D项属于同步性指标。
4.ABD。【解析】根据投资品种的不同,证券投资策略可分为股票投资策略、债券投资策略和另类产品投资策略。
5.ABC。【解析】D项表述错误,回归分析法建立市盈率模型只能解释在某一时刻股价的表现,却很少能成功解释较长的时间内市场的复杂变化。
6.BC。【解析】对看涨期权而言,若市场价格高于协定价格,期权的买方执行期权将有利可图,此时为实值期权;市场价格低于协定价格,期权的买方将放弃执行期权,为虚值期权。对看跌期权而言,市场价格低于协定价格为实值期权;市场价格高于协定价格为虚值期权。
7.CD。【解析】债券交易中,报价方式包括:(1)全价报价,此时债券报价即买卖双方实际支付价格;(2)净价报价,此时债券报价是扣除累积应付利息后的报价。
8.ABD。【解析】市盈率通常用于考察股票的供求状况,更为短期投资者所关注。
9.ABC。【解析】按权证的内在价值,可以将权证分为平价权证、价内权证和价外权证,其原理与期权相同。
10.ACD。【解析】一般来说,衡量通货膨胀的指标有:零售物价指数(又称消费物价指数、生活费用指数)、批发物价指数、国民生产总值平减指数。
11.ABCD。【解析】证券市场需求的决定因素除了选项中的四项以外,还有资本市场的逐步开放。
12.ABD。【解析】财政支出可归类为两部分:一部分是经常性支出,包括政府的日常性支出、公共消费产品的购买、经常性转移等;另一部分是资本性支出,就是政府的公共性投资支出,包括政府在基础设施上的投资、环境改善方面的投资以及政府储备物资的购买等。
13.CD。【解析】选择性政策工具包括C、D项。此外,一般性政策工具是指中央银行经常采用的三大政策工具:(1)法定存款准备金率;(2)再贴现政策;(3)公开市场业务。
14.ABCD。【解析】通常来讲,汇率制度主要有四种:自由浮动汇率制度、有管理的浮动汇率制度、目标区间管理和固定汇率制度。
15.ABD。【解析】在运用演绎法进行行业分析的时候,从逻辑推论开始。第一步是根据推理,得到一个假设;第二步是观察,观察研究对象的实际情况;第三步是对假设和实际观察结果进行比较,确定接受或者拒绝这个假设。因此A、B、D项符合题意。
编辑推荐:
环球网校友情提示:如果您在此过程中遇到任何疑问,请登录环球网校证券从业资格频道或论坛,随时与广大考生朋友们一起交流!
16.ABCD。【解析】一国的汇率会因该国的国际收支状况、通货膨胀率、利率、经济增长率等的变化而波动。
17.BCD。【解析】一元线性回归方程可以应用于:(1)描述两指标变量之间的数量依存关系;(2)利用回归方程进行预测,把预报因子(即自变量X) 代入回归方程可对预报量(即因变量Y)进行估计;(3)利用回归方程进行统计控制,通过控制X的范围来实现指标Y统计控制的目标。
18.AD。【解析】在一元线性回归分析中,b的t检验和模型整体的F检验二者都取其一即可。但是在多元回归分析中,它们是不等价的。t检验只是检验回归模型中各个系数(参数)的显著性,而F检验则是检验整个回归关系的显著性。
19.ABCD。【解析】在营运能力分析中,主要考虑的财务比率有:存货周转率和存货周转天数、应收账款周转率和应收账款周转天数、流动资产周转率、总资产周转率。
20.ABCD。【解析】选项均正确。
21.ABCD。【解析】利率可以分为存款利率、贷款利率、国债利率、回购利率、同业拆借利率等。
22.ABCD。【解析】选项均正确。
23.ABCD。【解析】金融机构主要包括商业银行、政策性银行、非银行信贷机构和保险公司。
24.ACD。【解析】素质,是指一个人的品质、性格、学识、能力、体质等方面特性的总和。一般而言,企业的经理人员应该具备如下素质:(1)从事管理工作的愿望;(2)专业技术能力;(3)良好的道德品质修养;(4)人际关系协调能力。
25.ABCD。【解析】股东权益增减变动表的各项内容包括:(1)净利润;(2)直接计人所有者权益的利得和损失项目及其总额;(3)会计政策变更和差错更正的累积影响金额;(4)所有者投入资本和向所有者分配利润等;(5)按照规定提取的盈余公积;(6)实收资本(或股本)、资本公积、盈余公积、未分配利润的期初和期末余额及其调节情况。
26.BCD。【解析】MACD由正负差(DIF)和异同平均数(DEA)两部分组成,当然,正负差是核心,DEA是辅助。故A项错误。
27.BC。【解析】一般说来,买卖双方对价格的认同程度通过成交量的大小得到确认。认同程度小,分歧大,成交量小;认同程度大,分歧小,成交量大。双方的这种市场行为反映在价、量上就往往呈现出这样一种趋势规律:价升量高,价跌量减。
28.ABC。【解析】D项趋势线被突破后,就说明股价下一步的走势将要反转。
29.BCD。【解析】持续整理形态主要有:三角形、矩形、旗形和楔形。
30.CD。【解析】投资者的共同偏好规则有:(1)如果两种证券组合具有相同的期望收益率和不同的收益率方差,那么投资者总是选择方差较小的组合;(2)如果两种证券组合具有相同的收益率方差和不同的期望收益率,那么投资者选择期望收益率高的组合。
编辑推荐:
环球网校友情提示:如果您在此过程中遇到任何疑问,请登录环球网校证券从业资格频道或论坛,随时与广大考生朋友们一起交流!
31.AC。【解析】资本资产定价模型主要应用于资产估值,资金成本预算以及资源配置等方面。
32.BC。【解析】增长型证券组合以资本升值(即未来价格上升带来的价差收益)为目标。投资于此类证券组合的投资者往往愿意通过延迟获得基本收益来求得未来收益的增长。
33.BCD。【解析】投资者需要在有效边界上找到一个具有下述特征的有效组合:相对其他有效组合,该组合所在的无差异曲线位置最高。这样的有效组合便是他最满意的有效组合,而它恰恰是无差异曲线簇与有效边界的切点所表示的组合。A项,该组合是在既定风险下收益最高的组合。
34.BC。【解析】传统的风险限额管理主要是头寸规模控制,主要缺陷有:(1)不能在各业务部门之间进行比较;(2)没有包含杠杆效应,对衍生产品组合可能会产生错误的表述;(3)没有考虑不同业务部门之间的分散化效应。
35.ABCD。【解析】金融工程是金融业不断进行金融创新、提高自身效率的自然结果,其原因在于金融工程的应用范围来自于金融实践且全部应用于金融实践。概括地说,金融工程应用于四大领域:公司金融、金融工具交易、投资管理和风险管理。
36.ABCD。【解析】相对于以往风险度量方法,VaR的全面性、简明性、实用性决定了其在金融风险管理中有着广泛的应用基础,主要表现在风险管理与控制、资产配置与投资决策、绩效评价和风险监管等方面。
37.AB。【解析】德尔塔~正态分布法下计算VaR时,VaR的值取决于两个重要的参数:持有期和置信度。
38.ABCD。【解析】选项均正确。
39.ABCD。【解析】《证券、期货投资咨询管理暂行办法》第二十条规定:“证券、期货投资咨询机构及其投资咨询人员,应当完整、客观、准确地运用有关信息、资料向投资人或者客户提供投资分析、预测和建议,不得断章取义地引用或者篡改有关信息、资料;引用有关信息、资料时,应当注明出处和著作权人。”
40.AD。【解析】证券公司、证券投资咨询机构应当公平对待证券研究报告的发布对象,不得将证券研究报告的内容或者观点,优先提供给公司内部部门、人员或者特定对象。故B项错误,鼓励证券公司、证券投资咨询机构组织安排证券分析师,按照证券信息传播的有关规定,通过广播、电视、网络、报刊等公众媒体,客观、专业、审慎地对宏观经济、行业状况、证券市场变动情况发表评论意见,为公众投资者提供证券资讯服务,传播证券知识,揭示投资风险,引导理性投资。故 C项错误。
41.ABCD。【解析】公司分析侧重对公司的竞争能力、盈利能力、经营管理能力、发展潜力、财务状况、经营业绩以及潜在风险等进行分析,借此评估和预测证券的投资价值、价格及其未来变化的趋势。
42.AB。【解析】利用历史数据进行估计市盈率的方法有:(1)算术平均数法或中间数法;(2)趋势调整法;(3)回归调整法。C、D两项属于市场决定法。
43.CD。【解析】间接信用指导是指中央银行通过道义劝告、窗口指导等办法间接影响商业银行等金融机构行为的做法。A、B两项属于直接信用控制。
44.AD。【解析】收入政策是国家为实现宏观调控总目标和总任务,针对居民收入水平高低、收入差距大小在分配方面制定的原则和方针。与财政政策、货币政策相比,收入政策具有更高一层次的调节功能,它制约着财政政策和货币政策的作用方向和作用力度,而且收入政策最终也要通过财政政策和货币政策来现实。
45.AD。【解析】石油冶炼、超级市场和电力等行业已进入成熟阶段;电子信息(电子计算机及软件、通信)、生物医药等行业处于行业生命周期成长期。
编辑推荐:
环球网校友情提示:如果您在此过程中遇到任何疑问,请登录环球网校证券从业资格频道或论坛,随时与广大考生朋友们一起交流!
46.ABC。【解析】从长期来看,所有真实的报告收益应最终反映为公司的现金净流入,所以长期偿债能力与公司的获利能力是密切相关的。
47.ABC。【解析】流动比率是流动资产与流动负债的比值。一般情况下,营业周期、流动资产中的应收账款数额和存货的周转速度是影响流动比率的主要因素。
48.AD。【解析】技术分析就是利用过去和现在的成交量、成交价资料,以图形和指标分析工具来分析、预测未来的市场走势。
49.ABD。【解析】证券投资政策是投资者为实现投资目标应遵循的基本方针和基本准则,包括确定投资目标、投资规模和投资对象三方面的内容以及应采取的投资策略和措施等。
50.ABCD。【解析】金融工程作为金融创新的手段,其运作可分为六个步骤,即诊断、分析、生产、定价、修正和商品化。
三、判断题
1.B。【解析】主管统计和国民经济核算工作的国务院直属机构是国家统计局。因此定期对外发布国民经济和社会发展中的有关统计数据的政府部门是国家统计局。故本题错误。
2.A。【解析】基本分析法又称基本面分析法,是指证券分析师根据经济学、金融学、财务管理学及投资学等基本原理,对决定证券价值及价格的基本因素进行分析的一种分析方法。
3.B。【解析】直接监督管理我国证券市场的国务院直属事业单位是中国证券监督管理委员会(简称中国证监会)。
4.B。【解析】证券投资的理想结果是证券投资净效用(即收益带来的正效用与风险带来的负效用的权衡)最大化,而不单单是指在风险既定的条件下投资收益率最大。
5.B。【解析】应用零增长模型计算出该公司股票的内在价值=2÷10%=20(元),内在价值小于其市场价格(25元),说明该股票目前被高估了,是卖出的好时机。故本题错误。
6.A。【解析】付息间隔短的债券,风险相对较小。
7.B。【解析】无论是看涨期权还是看跌期权,也无论期权标的物的市场价格处于什么水平,期权的内在价值都必然大于零或等于零,而不可能为一负值。
8.B。【解析】如果NPV>0,意味着所有预期的现金流人的现值之和大于投资成本,即这种股票被低估价格,因此购买这种股票可行。如果NPV<0,意味着所有预期的现金流入的现值之和小于投资成本,即这种股票被高估价格,因此不可购买这种股票。
9.A。【解析】权证的定价多采用BS模型。
10.A。【解析】我国生产者价格指数(PPI)的计算方法与CPI的计算方法一致,都采用国际通行的链式拉氏公式。
11.B。【解析】国债是证券市场上重要的交易券种,国债发行规模的缩减,使市场供给量减少,从而对证券市场原有的供求平衡发生影响,导致更多的资金转向股票,推动证券市场行情上扬,这是积极财政政策的经济效应。
12.A。【解析】直接信用控制的具体手段包括:规定利率限额与信用配额、信用条件限制,规定金融机构流动性比率和直接干预等。
13.A。【解析】成长期的行业增长非常迅猛,部分优势企业脱颖而出,投资于这些企业的投资者往往获得极高的投资回报,所以成长期阶段有时被称为投资机会时期。
14.A。【解析】一般而言,市场容量和市场潜力较大的行业,成长空间也较大。
15.A。【解析】通过行业增长比较分析和行业增长预测分析,行业分析师可以选择出处于成长期或稳定期、竞争实力雄厚、有较大发展潜力的行业。
编辑推荐:
环球网校友情提示:如果您在此过程中遇到任何疑问,请登录环球网校证券从业资格频道或论坛,随时与广大考生朋友们一起交流!
16.B。【解析】如果一个数列的自相关系数出现周期性变化,每间隔若干个便有一个高峰,表明该时间数列是季节性时间数列。
17.A。【解析】MvA是公司为股东创造或毁坏了多少财富在资本市场上的体现,也是股票市值与累计资本投入之间的差额。
18.B。【解析】市盈率又称价格收益比或本益比,是每股价格与每股收益之间的比率。
19.B。【解析】总资产周转率是营业收入与平均资产总额的比值。
20.A。【解析】根据国际会计准则理事会(IASB)规定,财务报表的目标是向财务报表使用者提供与主体财务状况、经营成果和现金流量有关的会计信息,帮助广泛的财务报表使用者作出经济决策。
21.A。【解析】道氏理论对大形势的判断有较大的作用,但对于每日每时都在发生的小波动则显得无能为力。
22.A。【解析】没有上影线的K线指的是光头阳线和光头阴线。
23.B。【解析】当K、D值超过80时,是卖出信号;低于20时,是买人信号。
24.A。【解析】支撑线和压力线之所以能起支撑和压力作用,两者之间之所以能相互转化,很大程度上是心理因素方面的影响,这也是支撑线和压力线理论上的依据。
25.A。【解析】货币市场型证券组合是由各种货币市场工具构成的,如国库券、高信用等级的商业票据等,安全性很强。
26.A。【解析】证券组合管理理论最早由美国著名经济学家哈理-马柯威茨于1952年系统提出。在此之前,偶尔有人也曾在论文中提出过组合的概念,但经济学家和投资管理者一般仅致力于对个别投资对象的研究和管理。
27.B。【解析】根据证券组合管理理论,只有位于最小方差集合线上且位于最小方差组合之上的点才是有效组合。
28.A。【解析】目前我国沪深两地证券交易所均采用集合竞价方式产生开盘价,每个交易日的9:15~9:25为开盘集合竞价时间。
29.A。【解析】Alpha套利策略中希望持有的股票(组合)具有正的超额收益。因此,Alpha套利策略又称为“绝对收益策略”。
30.B。【解析】交易者在股票或股指期权上持有空头看涨期权时,一旦股票价格上涨将面临很大的亏损风险,通过买进股指期货合约则能起到对冲风险的作用。
31.A。【解析】典型的套期保值应当是在现货和期货市场上同时或相近时间内建立方向相反的头寸,在套期保值结束时,在两个市场将原有的头寸进行反向操作。故本题正确。
32.B。【解析】套利交易者希望价差在预期的时间内能够沿着自己设想的轨迹达到合理的状态,因此,对“价差合理”的判断的正确与否以及价差是否沿着设想的轨道运行,就决定了套利存在潜在的风险。故本题错误。
33.A。【解析】根据《证券投资基金评价业务管理暂行办法》,对基金、基金管理人评级的更新间隔少于3个月。
34.A。【解析】与股市相关的避险工具并非只有股指期货,在发达市场中,还有股指期权、股票期货、股票期权等。
35.B。【解析】蒙特卡罗模拟法计算VaR时,市场价格的变化不是来自历史观察值,而是通过随机数模拟得到。
36.A。【解析】期货保值的盈亏取决于基差的变动。如果基差保持不变,则现货盈亏正好与期货市场盈亏相互抵消,总盈亏为零,套期保值目标实现。
37.B。【解析】静默期的意义在于,防止分析师为配合本公司投资银行业务调控发行人股价的需要,发布倾向性、误导性的研究报告。题中描述的是隔离墙制度的意义。
38.B。【解析】证券公司探索形成的证券投资顾问业务流程主要有四个环节:(1)服务模式的选择和设计;(2)客户签约;(3)形成服务产品;(4)服务提供。
39.A。【解析】根据《证券、期货投资咨询管理暂行办法》,证券、期货投资咨询机构向投资人或者客户提供的证券、期货投资咨询传真件必须注明机构名称、地址、联系电话和联系人姓名。
40.A。【解析】《证券公司信息隔离墙制度指引》规定,证券公司不应允许证券自营、证券资产管理等存在利益冲突的业务部门对上市公司、拟上市公司及其关联公司开展联合调研、互相委托调研。
编辑推荐:
环球网校友情提示:如果您在此过程中遇到任何疑问,请登录环球网校证券从业资格频道或论坛,随时与广大考生朋友们一起交流!
最新资讯
- 2024证券从业资格考试《金融市场基础知识》模拟题:第三章第三节2024-09-17
- 2024证券从业资格考试《金融市场基础知识》模拟题:第三章第二节2024-09-16
- 2024证券从业资格考试《金融市场基础知识》模拟题:第三章第一节2024-09-15
- 2024证券从业资格考试《金融市场基础知识》模拟题:第二章第二节2024-09-08
- 2024证券从业资格考试《金融市场基础知识》模拟题:第二章第一节2024-09-07
- 2024证券从业资格考试《金融市场基础知识》模拟题:第一章第二节2024-09-01
- 2024证券从业资格考试《金融市场基础知识》模拟题:第一章第一节2024-08-31
- 2024证券从业资格考试练习题-《证券市场基本法律法规》2024-08-25
- 2024证券从业资格考试练习题-《金融市场基础知识》2024-08-24
- 2023年证券从业资格考试冲刺练习题及答案:中国证券市场发行制度2023-08-23