当前位置: 首页 > 咨询工程师(投资) > 咨询工程师(投资)备考资料 > 咨询工程师辅导资料:简单移动平均法

咨询工程师辅导资料:简单移动平均法

更新时间:2009-12-01 10:24:57 来源:|0 浏览0收藏0

咨询工程师(投资)报名、考试、查分时间 免费短信提醒

地区

获取验证 立即预约

请填写图片验证码后获取短信验证码

看不清楚,换张图片

免费获取短信验证码

  简单移动平均法

  1.概念:

  简单移动平均法是以过去某一段时期的数据平均值作为将来某时期预测值的一种方法。该方法按对过去若干历史数据求算术平均数,并把该数据作为以后时期的预测值。

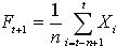
  2.简单移动平均公式

  简单移动平均可以表述为:         (2-23)

  3.n的选择

  n的选择是移动平均的难点,不同n的选择对所计算的平均数有较大影响的。

  n值越小,对近期观测值预测的作用越重视,预测值对数据变化的反应速度也越快,但预测的修匀程度较低,估计值的精度也降低。转自环球网校edu24ol.com

  n值越大,预测值的修匀程度越高,但对数据变化的反映程度较慢。

  n值的选择应视具体情况来决定,不存在一个确定时期n值的规则。

  n一般在3-200之间,要根据序列长度和预测目标情况来确定。

  (1)水平型数据:

  n值的选取较为随意,如果历史序列的基本发展趋势变化不大,n值取大一点。

  (2)具有趋势性或阶跃型特点的数据:

  n值取较小一些,主要是为了提高预测值对数据变化的反应速度,减少预测误差。

  (3)预测目标的趋势正在不断发生变化的数据

  为了使移动平均值更能反映目前的发展变化趋势,n应选小一点。

  【例题11】采用简单移动平均法进行市场预测,应注意合理选择用于计算移动平均值的历史数据数目(n)。下列关于n的表述,正确的是( )。(2008真题)

  A.预测目标的趋势不断变化时,n值应取大一点

  B.具有阶跃型特点的数据,n值应取小一点

  C.n值越小,预测值的修匀程度越

  D.n值越大,表明近期观测值作用越大

  【答案】B

  4.简单移动平均法的优缺点

  主要优点:简单易行,容易掌握。

  缺点:只是处理水平型历史数据有效,每计算一次需要最近的n个观测值。

  实际经济生活中历史数据的类型远比水平型复杂,大大限制了移动平均法的应用范围。

  5.简单移动平均法的应用范围转自环 球 网 校edu24ol.com

  移动平均法只适用于短期预测,在大多数情况下只用于以月度或周为单位的近期预测。简单移动平均法的另一个主要用途:

  对原始数据进行预处理,以消除数据中的异常因素或除去数据中的周期变动成分。

更多内容访问>> 咨询工程师考试频道   咨询工程师考试交流论坛     咨询工程师课程免费试听

·关于2010年咨询工程师(投资)考试考务工作的通知
·2010年注册咨询工程师(投资)考前网上辅导招生简章
·环球网校2009年咨询工程师(投资)考试辅导通过率
·2009年注册咨询工程师(投资)考试成绩查询及反馈专题

分享到: 编辑:环球网校

资料下载 精选课程 老师直播 真题练习

咨询工程师(投资)资格查询

咨询工程师(投资)历年真题下载 更多

咨询工程师(投资)每日一练 打卡日历

0
累计打卡
0
打卡人数
去打卡

预计用时3分钟

咨询工程师(投资)各地入口
环球网校移动课堂APP 直播、听课。职达未来!

安卓版

下载

iPhone版

下载

返回顶部