咨询工程师决策分析讲义:比率性指标与评价方法
四、比率性指标与评价方法
(一)内部收益率(IRR)
1、含义
特例:
若某项目在1年初(零点)投资Ip,以后每年末获得相等的净收益R,则内部收益率可由以下两式表示:
或
分类:
财务内部收益率(FIRR):
经济内部收益率(EIRR):
经济含义:
内部收益率指标的经济含义是项目对占用资金的恢复能力。也可以说内部收益率是指项目对初始投资的偿还能力或项目对贷款利率的最大承受能力。
2、判据
若IRR≥ic(或is),则认为项目在经济上是可以接受的;
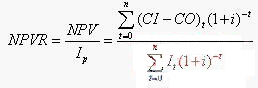
若IRR 注意:由于内部收益率不是用来计算初始投资收益的,所以不能用内部收益率指标作为排列多个独立项目优劣顺序的依据。 3、计算 (1)计算机编程求解 (2)人工试算法: 内插公式为: 式中:r――内部收益率;r1――较低的试算折现率;r2――较高的试算折现率; NPV1――与r1对应的净现值;NPV2――与r2对应的净现值。 公式推导:r1――NPV1 r――NPV0=0 r2――NPV2 【例题5】 已知某方案第1年初和第1年末分别投资1000元、800元,第二、三、四年末均获净收益500元,第五年末净收益为1200元。在折现率取值为r1=12%时,NPV1=38.5元;在折现率取值为r2=14%时,NPV2=-60.3元,则项目的内部收益率为( )。 A.11.5% B.12% C.12.78% D.15.66% 【答案】C 4、优缺点 (1)内部收益率指标的优点 ①与净现值指标一样,内部收益率指标考虑了资金的时间价值,用于对项目进行动态分析,并考察了项目在整个寿命期内的全部情况。 ②内部收益率是内生决定的,与净现值、净年值、净现值率等指标需要事先设定基准折现率才能进行计算比较起来,操作困难小。 注意:我国进行项目经济评价时往往把内部收益率作为最主要的指标。 (2)内部收益率指标的缺点 ①内部收益率指标计算繁琐,非常规项目有多解现象,分析、检验和判别比较复杂。 ②内部收益率适用于独立方案的经济评价和可行性判断,一般不能直接用于独立方案之间的比较和选优,但可以用于互斥方案之间的优劣排序。 ③内部收益率不适用于只有现金流入或现金流出的项目。 (二)净现值率(NPVR) 1.定义和计算 式中: 经济含义:净现值率表明单位投资的盈利能力或资金的使用效率。 2.判别标准 若NPVR≥0,方案可行,可以考虑接受;若NPVR<0,方案不可行,应予拒绝。 五、经济评价指标的选择 经济评价指标的作用: 一是用于单一项目(方案)投资经济效益的大小与好坏的衡量,以决定方案的取舍; 二是用于多个项目(方案)的经济性优劣的比较,以决定项目(方案)的选取。 项目(方案)经济评价指标的选择,应根据项目(方案)具体情况、评价的主要目标、指标的用途和决策者最关心的因素等问题来进行。 注意:项目(方案)经济评价,应尽量考虑一个适当的评价指标体系,从不同的角度衡量项目的经济效益,避免仅用一两个指标来作出评价结论。 ?2009年咨询工程师新版课程上线(09年考试趋势分析)

?2009年注册咨询工程师(投资)考试时间:4月17、18、19日
最新资讯
- 2026年咨询工程师考试要点【现代咨询方法与实务】2026-03-17
- 2026年咨询工程师考试要点【决策分析与评价】2026-03-16
- 2026年咨询工程师考试要点【宏观经济】2026-03-13
- 2026咨询工程师《工程项目组织与管理》核心考点清单(必背)2026-03-12
- 【考前冲刺】2026年咨询工程师考点汇总|助你轻松备考2026-03-06
- 2026年咨询工程师考点【现代咨询方法与实务】2026-03-05
- 2026年咨询工程师考点【项目决策分析与评价】2026-03-04
- 2026年咨询工程师考点【宏观经济】2026-03-03
- 2026年咨询工程师考点【工程项目组织与管理】2026-03-02
- 2026咨询工程师组织与管理考点速记,高效提分不踩坑2026-01-29