风险分析的主要方法:风险概率估计
风险概率估计
1.客观概率估计
客观概率:是实际发生的概率,可以根据历史统计数据或是大量的试验来推定。两种方法:
(1)将一个事件分解为若干子事件,通过计算子事件的概率来获得主要事件的概率;
(2)通过足够量的试验,统计出事件的概率。
客观概率估计:是指应用客观概率对项目风险进行的估计,它利用同一事件,或是类似事件的数据资料,计算出客观概率。
客观概率估计法最大的缺点是需要足够的信息,但通常是不可得的。
注意:客观概率只能用于完全可重复事件,因而并不适用于大部分现实事件。
2.主观概率估计
主观概率:基于个人经验、预感或直觉而估算出来的概率,是一种个人的主观判断。
主观概率估计:基于经验、知识或类似事件比较的老师推断概率。
注意:当有效统计数据不足或是不可能进行试验时,主观概率是唯一选择。
主观概率老师估计的具体步骤:转自环球网校edu24ol.com
(1)根据需要调查问题的性质组成老师组。老师组成员由熟悉该风险因素的现状和发展趋势的老师、有经验的工作人员组成。
(2)查某一变量可能出现的状态数或状态范围和各种状态出现的概率或变量发生在状态范围内的概率,由每个老师独立使用书面形式反映出来。
(3)整理老师组成员意见,计算老师意见的期望值和意见分歧情况,反馈给老师组。
(4)老师组讨论并分析意见分歧的原因。重新独立填写变量可能出现的状态或状态范围和各种状态出现的概率或变量发生在状态范围内的概率,如此重复进行,直至老师意见分歧程度满足要求值为止。这个过程最多经历三个循环,否则不利于获得老师们的真实意见。
【例题11】下列关于投资项目风险概率估计方法的表述中,正确的有( )。(2008真题)
A.客观概率估计方法只能用于完全可重复事件
B.主观概率反映了人们对风险现象的一种测度
C.客观概率估计方法的最大优点是仅需要少量的信息
D.主观概率估计适用于不可能进行试验的情况
E.主观概率是人们根据实际观测的数据估算出来的概率
【答案】ABD
3.风险概率分布
(1)离散型概率分布。输入变量可能值是有限个数。各种状态的概率取值之和等于1,它适用于变量取值个数不多的输入变量。
(2)连续型概率分布,输入变量的取值充满一个区间。常用的连续概率分布如下表13-11所示:

4.风险概率分析指标
描述风险概率分布的指标主要有期望值、方差、标准差、离散系数等。
(1)期望值
概念:期望值是风险变量的加权平均值。
计算公式:
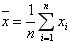
①离散型风险变量,期望值为
其中:n——风险变量的状态数; ——风险变量的第i种状态下变量的值;
——风险变量的第i种状态出现的概率。
特殊的对于等概率的离散随机变量,其期望值为![]()
②连续型风险变量,期望值为(补充)![]()
(2)方差和标准差转自环 球 网 校edu24ol.com
概念:方差和标准差都是是描述风险变量偏离期望值程度的绝对指标。
计算公式:方差:
①对于离散变量,方差S2为

更多内容访问>> 咨询工程师考试频道 咨询工程师考试交流论坛 咨询工程师课程免费试听
·2010年全国注册咨询工程师考试报名时间汇总
·关于2010年咨询工程师(投资)考试考务工作的通知
·2010年注册咨询工程师(投资)考前网上辅导招生简章
·环球网校2009年咨询工程师(投资)考试辅导通过率
最新资讯
- 2026年咨询工程师考试要点【现代咨询方法与实务】2026-03-17
- 2026年咨询工程师考试要点【决策分析与评价】2026-03-16
- 2026年咨询工程师考试要点【宏观经济】2026-03-13
- 2026咨询工程师《工程项目组织与管理》核心考点清单(必背)2026-03-12
- 【考前冲刺】2026年咨询工程师考点汇总|助你轻松备考2026-03-06
- 2026年咨询工程师考点【现代咨询方法与实务】2026-03-05
- 2026年咨询工程师考点【项目决策分析与评价】2026-03-04
- 2026年咨询工程师考点【宏观经济】2026-03-03
- 2026年咨询工程师考点【工程项目组织与管理】2026-03-02
- 2026咨询工程师组织与管理考点速记,高效提分不踩坑2026-01-29