2009年咨询工程师考试《工程项目组织与管理》真题及答案
一、单项选择题(共60题,每题1分。每题的备选项中,只有1个最符合题意)
1.由于工程项目具有( )的特点,其建设会受到项目所在地气候、地质等条件的约束。
A.整体性
B.固定性
C.目标的明确性
D.周期性
2.在一般工程项目建设周期中,人力和费用投入过程的趋势变化是( )。
A.开始慢-中间快-临近结束时漫
B.开始快-中间慢-临近结束时慢
C.开始快-中间快-临近结束时慢
D.开始慢-中间慢-临近结束时快
3.在一般工程项目建设周期中,项目管理难度最大的是( )阶段。
A.策划和决策
B.实施
C.竣工验收
D.准备
4.项目管理知识体系(PMBOK)中,项目管理的四个核心领域是指( )。
A.时间、质量、成本、风险
B.质量、成本、采购、时间
C.时间、质量、成本、范围
D.采购、质量、时间、范围
5.在工程项目目标系统的建立过程中,进行工程项目环境分析是( )阶段的重要内容。
A.工程项目构思
B.识别需求
C.工作结构分解
D.提出项目目标
6.明确实现目标的具体操作过程,是工程项目过程控制基本程序中( )阶段的工作。
A.实施
B.检查
C.处理
D.计划
7.在工程设计过程中最有可能对项目的"可施工性"考虑不够,不利于总投资控制的项目管理模式是( )。
A.项目管理承包模式(PMC)
B.设计一采购一施工模式(EPC)
C.设计一招投标一建造模式(DBB)
D.建筑工程管理模式(CM)
8.项目管理承包模式(PMC)是一种( )模式。
A.由专业化机构进行项目管理
B.公共设施及服务私营化
C.工程项目总承包
D.传统项目管理
9.BOT是一种( )的项目融资方式。
A.必须追索
B.无限追索
C.无需追索
D.有限追索
10.某特大型国有企业集团投资建设《政府核准的投资项目目录》内的项目,应( )。
A.按项目单独申报项目建议书
B.按项目单独申报可行性研究报告
C.编制年度发展建设计划并经批准后办理核准手续
D.编制中长期发展建设规划并经批准后办理备案手续
11.商业银行对贷款项目管理的主要目的是保证资金的( )。
A.安全性、流动性、效益性
B.安全性、多样性、流动性
C.多样性、流动性、效益性
D.政策性、安全性、效益性
12.对企业使用政府补助、转贷和贷款贴息投资建设的项目,政府只审批( )。
A.可行性研究报告
B.项目建议书
C.资金申请报告
D.项目初步设详概算
13.国家发展改革委关于实行核准制的《项目申请报告通用文本》中,"经济影响分析"包括( )内容。
A.金属矿资源分析
B.产业空间布局分析
C.非金属矿资源分析
D.使用水资源分析
14.未列入《国家环境保护总局审批环境影响评价的建设项目目录》中的农药项目,其环境影响评价文件不能由( )环境保护行政主管部门审批。
A.国家级
B.省级
C.地市级
D.县级
15.在工程实施阶段,已完工程的保护工作是( )的任务。
A.工程所在地公安部门
B.工程承包商
C.工程所在地建设主管部门
D.业主单位
16.实行备案制的建设项目,建设单位应( )完成环境影响评价报批手续。
A.在办理备案手续前
B.在办理备案手续后10日内
C.与办理备案手续同步
D.在办理备案手续后且项目开工前
17.某企业总资产为2 000 万元,其中流动资产500万元,存货100万元,负债200万元,流动负债50万元,则其流动比率为( )。
A. 10.0 B.4.5
C.2.5 D.0.1
18.在工程项目绩效报告的内容中,说明工程项目组织在某一特定期间完成的工作的是( )。
A.状态报告 B.进展报告
C.项目预测 D.变更申请
19.一般情况下,成功的项目管理人员应优先与( )进行沟通。
A.提供贷款者和社会公众 B.政府部门和设备供应商
C.周边居民和环保部门 D.管理层和客户
20.咨询工程师批准工作范围变更的原则不包括( ).
A.变更工作在技术上可行 B.变更后的项目可以降低使用标准
C.变更工作对总工期影响不大 D.业主同意支付变更费用
21.咨询工程师签发的变更令附件中,一般不包括变更工作的( )。
A.设计资料 B.施工组织设计
C.工程量表 D.变更原因
22.下列关于职能划分法的表述中,错误的是职能划分法( )。
A.有利于提高组织的专业化程度
B.不利于项目运作人员的培养
C.有利于提高管理人员的技术水平
D.有利于节约资金
23.在工程项目的组织设计中,首先强调组织整体设计目标的实现,然后进行分工,设立相应的组织单元,最后进行综合协调,这主要体现了组织设计的( )。
A.最佳幅度与层次原则
B.目标导向原则
C.整分合原则
D."封闭"设计原则
24.可以同时规定项目团队成员角色、职责与任务范围的管理工具是( )。
A.关键线路法
B.责任分配矩阵
C.组织结构图
D.工作分解结构
25.矩阵式组织结构的缺点不包括( )。
A.项目管理权力平衡困难
B.项目成员处于多头领导之下
C.信息回路复杂
D.团队工作目标不明确
26.某项目团队,全职人员所占比例为20%,且有专职的项目经理,则该项目的组织模式是( )。
A.项目式
B.平衡矩阵式
C.强矩阵式
D.弱矩阵式
27.团队的工作开始进入有序化状态,培养了初步的团队精神,此时的团队处于( )。
A.规范阶段
B.表现阶段
C.形成阶段
D.磨合阶段
28.评标时按事先公布的标准对所存投标文件进行评审,这主要体现了招标投标的( )原则。
A.公开
B.公正
C.公平
D.诚实信用
29.凡应报送项目审批部门审批的工程项目,其招标组织形式应列入项目的( )中进行报批。
A.招标方案
B.可行性研究报告
C.招标文件
D.资金申请报告
30.下列项目中,属于《工程建设项巨招标范围和规模标准规定》中规定的关系社会公共利益和公众安全的公用事业项目是( )。
A.轻轨交通项目
B.信息网络项目
C.污水排放项目
D.商品住宅项日
31.某燃气项目招标人自行招标应具备的条件中不包括( )。
A.招标人有项目法人资格
B.招标人有从事同类工程招标的经验
C.招标人至少有2名工程师或经济师
D.招标人至少有1名在本单位注册的造价工程师
32.下列关于招标项目各项工作期限的表述中,正确的是( )。
A.资格预审文件出售至停止出售时间,最短不少于5天
B.投标保证金有效期应超出投标有效期28天
C.自招标文件出售至停止出售的时间,最短不少于5个工作日
D.招标人自行招标应在发出招标公告5个工作目前向有关行政监督部门备案
33.下列投标文件中,由评标委员会初审后按废标处理的是( )。
A.逾期送达的投标文件
B.未按要求密封的投标文件
C.未按要求提供担保的投标文件
D.附有招标人不能接受的条件的投标文件
34.招标采购的货物必须符合设计文件和合同文件对货物技术性能的要求,这体现了货物招标应遵循的( )原则。
A.经济保证
B.质量保证
C.安全保证
D.进度保证
35.按FIDIC合同条件,合同争端裁决委员会作出裁决后( )内任何一方未提出异议,此裁决即为最终决定。
A.14天
B.28天
C.56天
D.84天
36.下列关于FIDIC指定分包商的表述中,正确的是( )。
A.指定分包商可由工程师选定
B.指定分包商应与业主签订合同
C.指定分包商不能提供工程技术服务
D.承包商不负责协调指定分包商的工作
37.施工合同文件主要包括:①协议书,②投标书,③中标通知书,④合同通用条款,⑤合同专用条款,⑥工程量清单。当合同文件出现不一致时,正确的解释顺序为( )。
A.①一②一③一④一⑤一⑥
B.①一②一③一⑤一④一⑥
C.①一③一②一⑤一④一⑥
D.①一⑤一④一③一②一⑥
38.《建设工程施工合同(示范文本)》通用条款规定的承包人的义务是( )。
A.办理工程征地拆迁手续
B.办理工程质量监督手续
C.办理安全生产管理手续
D.办理竣工验收备案手续
39.经工程师确认可以顺延工期的情形不包括( )。
A.发包人不能按约提供开工条件
B.因承包人原因造成工程量增加
C.不可抗力出现导致不能开工
D.因设计变更导致工程量增加
40.发包人在收到竣工结算报告及资料( )后仍不支付结算价款,承包人可以申请人民法院将该工程依法拍卖。
A.7天
B.14天
C.28天
D.56天
41.货物采购合同履行过程中,催交工作的重点是保证货物生产的( )。
A.安全
B.质量
C.进度
D.价格
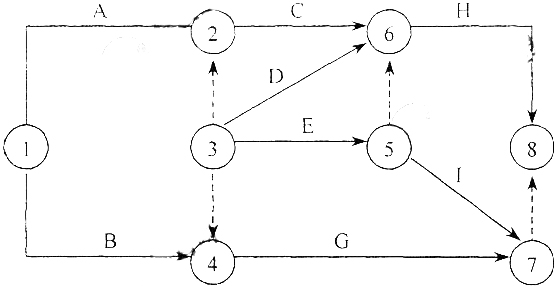
42.某工程项目分部工程双代号网络计划如下图,其关键线路为( )。

A.①—②—④—⑦ B.①—②—③—⑥—⑦
C.①—②—③—⑤—⑦ D.①—③—⑥—⑦
43.某分部工程双代号时标网络计划如下图所示,则工作B的总时差和自由时差分别是( )。

A.0天,0天
B.2天,0天
C.2天,2天
D.4天,0天
44.下列关于双代号时标网络计划的表述中,正确的是( )。
A.双代号时标网络计划只能表示工作的开始和完成时间
B.虚箭线只能垂直画是因为虚工作的持续时间为零
C.时标网络计划宜按各项工作的最晚开始时间编制
D.双代号时标网络计划必须以天为时标单位
45.利用"香蕉"曲线比较法可进行的工作不包括( )。
A.合理安排进度计划
B.对后续工程进度进行预测
C.确定应采取的纠偏措施
D.比较实际进度与计划进度
46.编制工程项目( )时,应将总费用根据工作分解结构分配至各工作单元。
A.费用估算
B.资源消耗计划
C.费用计划
D.费用控制计划
47.下列费用中,属于建筑安装工程措施费的是( )。
A.文明施工费
B.工程排污费
C.养老保险费
D.企业管理费
48.进行工程项目费用管理的首要任务是( )。
A.进行费用控制
B.编制资源消耗计划
C.编制费用估算
D.编制费用计划
49.安装预算单价及扩大综合单价不全时,编制设备安装工程概算可采用( )。
A.概算指标法
B.实物法
C.估算指标法
D.费用分解法
50.采用实物法编制施工图预算的工作主要包括:①准备资料熟悉施工图纸,②计算人工材料机械消耗量,③计算工程量,④计算其他费用,⑤计算人工材料机械费,⑥复核。其正确的顺序是( )。
A.①一②一③一④一⑤一⑥
B.①一③一②一④一⑤一⑥
C.①一③一②一⑤一④一⑥
D.①一②一③一⑤一④一⑥
51.某工程施工到2009年3月31日时,得到如下数据:计划工作预算费用为5800万元,己完工作预算费用为6000万元,已完工作实际费用为6200万元。则该工程此时的费用绩效指数为( )。
A.0.94
B.0.97
C.1.03
D. 1.07
52.某工程施上到2009年3月31曰时,得到如下数据:计划工作预算费用为2800万元,己完工作预算费用为3400万元,已完工作实际费用为3000万元。则该工程此时的进度偏差为( )万元。
A.-200
B.209
C.400
D.600
53.工程项目业主单位的质量管理责任不包括( )。
A.对工程项目的质量管理负总责
B.提供真实齐全的工程原始资料
C.不得违反工程建设强制性标准
D.负责提出最优建设方案
54.设立工程咨询成果评价标准的基本原则不包括( )。
A.坚持"客观、公正、科学、可靠"的原则
B.必须采用定量方法对工作进行考核
C.真实、全面地反映项目的有利和不利因素
D.评价结论并非全部可行才能被评优秀成果
55.咨询工程师在施工准备阶段的质量管理工作包括( )。
A.对关键质量点跟踪监控
B.监控进场的设备
C.对计量结果评价和确认
D.控制材料配合比
56.属于经济风险的典型风险事件是( )。
A.设计缺陷
B.经济制裁
C.市场动荡
D.地质灾害
57.风险识别工作不包括( )。
A.确定风险来源
B.制定风险对策
C.描述风险特征
D.确定风险条件
58.定量风险分析使用的技术一般不包括( )。
A.概率和影响矩阵
B.建模和模拟
C.预期货币价值分析
D.灵敏度分析
59.开展健康、安全、环保(HSE)工作的核心主体是( )。
A.项目经理
B.专职HSE管理人员
C.基层作业组长
D.有经验的兼职人员
60.工程项目实施阶段的健康、安全、环保(HSE)工作包括( )。
A.进行项目环境影响评价
B.制订HSE风险对策
C.进行项目设计变更控制
D.建立HSE现场检查制度
二、多项选择题(共35题,每题2分。每题的备选项中,有2个或2个以上符合题意,至少有1个错项。错选,本题不得分;少选,所选的每个选项得0.5分)
61.国际项目管理资质标准(ICB3)要求国际项目管理人员必须具备的专业知识和技能主要包括( )。
A.群体态度
B.组织能力
C.采购管理
D.基本项目管理知识
E.社会能力
62.项目管理知识体系(PRINCE2)涉及了8类管理要素,包括( )等。
A.项目启动
B.计划
C.风险管理
D.组织
E.项目交付
63.对于采用直接投资和资本金注入方式的政府投资项目,从投资决策角度政府只审批( )。
A.项目建议书
B.可行性研究报告
C.资金申请报告
D.施工图与预算
E.项目开工报告
64.国家发展改革委发布的《项目申请报告通用文本》中,"社会影响分析"包括( )。
A.社会资源优化配置分析
B.与当地社会环境的适应性
C.社会影响和社会效益分析
D.协调项目与当地社会关系
E.规避社会风险
65.商业银行对工程项目贷款的贷前管理内容包括( )。
A.对借款人进行信用评价
B.制定贷款的法律文件
C.对借款人进行财务评价
D.对贷款项目进行评估
E.发布贷款风险预警
66.选择和确定项目管理模式,应考虑的主要因素有( )。
A.建设项目的目标
B.业主本身的人力资源情况
C.承包商的能力与信誉
D.咨询服务机构的能力与信誉
E.上级主管单位的意愿
67.为了实现有效沟通,项目管理各方在沟通时应( )。
A.注意沟通方式
B.改进沟通技巧
C.明确沟通的目标
D.考虑沟通环境
E.事先多方征求对沟通内容的意见
68.建立工作分解结构时首先要识别项目的组成部分,主要考虑的是( )。
A.各工作单元大小要均衡
B.可作为独立的交付成果
C.标段间利润相差不大
D.便于项目实施管理
E.上级主管部门的要求
69.工程项目组织管理中常用的部门划分方法有( )。
A.程序划分法
B.规模划分法
C.职能划分法
D.区域划分法
E.序列划分法
70.下列关于工程项目管理组织中部门划分方法的表述中,正确的有( )。
A.部门划分方法可用于单一的项目管理
B.部门划分方法可用于多项目管理
C.对一个管理单位只能使用一种划分方法
D.常用的部门划分方法中包括人数划分法
E.业务划分法是常用的部门划分法之一
71.职能式组织结构的优点有( )。
A.团队成员可以得到本部门其他专业人员的技术支持
B.有利于公司项目发展与管理的连续性
C.团队成员的工作目标较为单一
D.组织方式不受原有模式的限制
E.有利子来自不同职能部门的团队成员之间的交流
72.工程项目管理组织的建立过程中,处于组织结构设计和制定考核标准之间的步骤包括( )。
A.人员配置
B.确定工作岗位与职责
C.明确工作流程与信息流程
D.确定合理的项目目标
E.确定项目工作内容
73.有专职的项目经理,且全职人员在项目团队中的比例占50%~60%的项目组织模式有( )。
A.项目式
B.平衡矩阵式
C.强矩阵式
D.弱矩阵式
E.职能式
74.项目经理在建立工作基础阶段的工作包括( )。
A.编制项目工作计划
B.分析项目相关人员
C.组织制订具体实施计划
D.了解项目情况
E.研究工作任务
75.进行项目工作分解的主要方法有( )。
A.按资金来源分解法
B.按专业要素分解法
C.按人员籍贯分解法
D.按工作内容分解法
E.按工作过程分解法
76.项目经理在项目实施中的指导工作包括( )。
A.落实人员分工
B.进行方法指导
C.培养团队精神
D.对成员提出具体要求
E.解决团队中的困难和问题
77.工程项目人力资源配备计划的内容包括( )。
A.人员报酬需求
B.人员参加项目工作时间
C.人员需求数量与种类
D.人员的奖惩
E.人员离开项目工作的时间
78.下列关于工程项目评标的表述中,正确的有( )。
A.细微偏差不影响投标文件的有效性
B.评标工作可由招标人或代理机构独自承担
C.招标文件没有规定的标准也可作为评标依据
D.以他人名义投标的,由评标委员会初审后按废标处理
E.评标分为初步评审和详细评审两个阶段进行
79.使用国有资金投资的货物招标项巨,招标人可以确定排名第二的中标候选人为中标人的情形有( )。
A.排名第一的中标候选人自动放弃中标
B.排名第二的中标候选人提出价格优惠措施
C,排名第二的中标候选人具有特定技术专利
D.排名第一的中标候选人提出不能履行合同
E.排名第一的中标候选人未按规定提交履约担保
80.下列关于工程项目合同特点的表述中,正确的有( )。
A.合同庞大复杂
B.订立合同必须采用有关部门颁发的合同示范文本
C.合同主体是法人或自然人
D.工程项目合同是一个合同群体
E.合同的标的物仅限于项目涉及的内容
81.根据FIDIC合同条件,下列关于业主提供支付保函的表述中,正确的有( )。
A.支付保函为附条件担保
B.业主必须向承包商提供支付保函
C.担保期限至缺陷通知期满后3个月
D.支付保函的作用是使业主保证履行付款义务
E.担保金额可以按分项合同价款的百分比计算
82.设备现场监造工作中咨询工程师的主要工作包括( )。
A.聘请有资格的检验机构承担检验工作
B.根据设备采购合同制订监造检验计划
C.设备制造开始后组织召开制造厂协调会议
D.设备制造完毕后做好出厂前检验测试
E.了解制造厂质量保证体系文件实施情况
83.《建设工程施工合同(示范文本)》的通用条款中包括( )等内容。
A.工程概况
B.合同价款支付
C.工程承包范围
D.材料设备供应
E.施工组织设计
84.某分部工程双代号网络图如下所示,图中存在的错误有( )。

A.有多个起点节点
B.有多个终点节点
C.节点编号有误
D.存在循环回路
E.有多余虚工作
85.某工作的实际进度发生偏差,判定该工作是否会对后续工作和总工期产生影响的依据有( )。
A.该工作是否处于关键线路
B.该工程的实际投资是否很大
C.工程资源是否均衡
D.进度偏差是否超过该工作的总时差
E.进度偏差是否超过该工作的自由时差
86.下列费用中,属于建筑安装工程间接费中规费的有( )。
A.劳动保险费
B.环境保护费
C.医疗保险费
D.临时设施费
E.住房公积金
87.下列关于工程项目资源需求分析的表述中,正确的有( )。
A.工程施工阶段对人力资源的需求非常多
B.工程项目竣工阶段对资源的需求非常多
C.工程项目设计阶段需要多专业工程师参与工作
D.工程项目实施阶段对材料、设备的需求大
E.编制资源消耗计划首先要确定需要的资源种类、数量及使用时间
88.下列产生工程项目费用偏差的原因中,属于业主原因的有( )。
A.建设手续不全
B.设备涨价
C.场地提供不及时
D.政策发生变化
E.增加建设内容
89.《工程咨询成果质量评价办法》规定,进行工业项目可行性研究报告的质量评价,应评价( )等方面。
A.风险分析
B.多方案比选
C.社会需求
D.市场调查分析
E.贯彻宏观政策分析
90.下列关于工程设计阶段质量管理的表述中,正确的有( )。
A.设计阶段要处理好投资、质量和进度的关系
B.在投资、质量和进度的关系中,投资是最重要的
C.设计阶段的投资控制,要追求投资的最小化
D.设计阶段的质量控制,要追求质量的优良化
E.设计阶段的进度控制,要使设计进度不影响总进度
91.下列关于项目目标的风险影响等级的表述中,正确的有( )。
A.当风险对项目的影响为0.1级时,成本增加不明显
B.当风险对项目的影响为0.2级时,进度拖延小于5%
C.当风险对项目的影响为0.4级时,进度拖延10%~20%
D.当风险对项目的影响为0.8级时,成本增加大于40%
E.当风险对项目的影响为0.05级时,只有少数工作受到影响
92.风险分解结构中,属于外部风险的有( )。
A.资金
B.沟通
C.计划
D.市场
E.客户
93.制订风险应对计划的主要工作有( )。
A.编制风险管理体系文件
B.选择应对措施并形成一致意见
C.进行灵敏度分析
D.明确风险管理人和分配相应责任
E.实施应对策略采取的具体行动
94.如果把工程项目健康、安全、环保(HSE)管理体系比喻成螺旋桨,则属于螺旋桨叶轮片的要素有( )。
A.组织机构
B.持续改进
C.领导和承诺
D.资源和文件
E.方针和战略目标
95.下列工作内容中,属于工程项目健康、安全、环保(HSE)管理体系实市和运行二级要素的有( )。
A.绩效测量和监控
B.应急准备和响应
C.文件和资料控制
D.HSE管理评审
E.危险源辨识
2009年咨询工程师考试《工程项目组织与管理》答案

更多内容访问>> 咨询工程师考试频道 咨询工程师考试交流论坛 咨询工程师课程免费试听 ·新春优惠,报咨询工程师全科或两科套餐,赠在线模考题!
·关于2010年咨询工程师(投资)考试考务工作的通知
·2010年注册咨询工程师(投资)考前网上辅导招生简章
·环球网校2009年咨询工程师(投资)考试辅导通过率
最新资讯
- 咨询工程师历年真题及解析,助力科学备考2026-01-26
- 咨询工程师考试历年真题:使用技巧与备考价值2026-01-14
- 2025年咨询工程师实务真题及答案2025-09-02
- 2025年咨询工程师考试题及答案2025-05-06
- 2025年咨询工程师真题,可估分对答案!2025-05-06
- 2025年注册咨询工程师考试真题及答案2025-04-30
- 2025年咨询工程师真题及答案2025-04-30
- 2025年注册咨询工程师真题详解2025-04-30
- 【考生关注】2025年全国咨询工程师真题答案解析发布2025-04-29
- 2025年咨询工程师真题资料免费下载,含答案解析2025-04-29