2011年咨询工程师考试《咨询方法与实务》模拟题(7)
[背景资料]
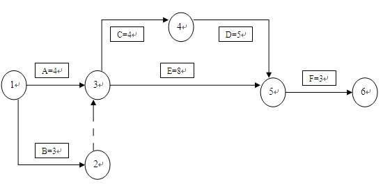
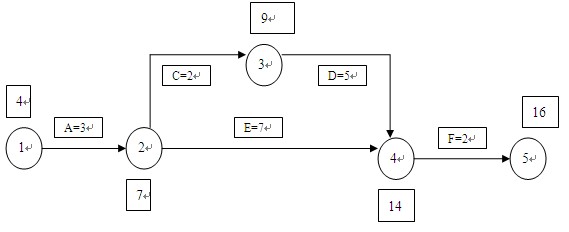
某工程网络图计划如下,计划工期16个月。

各工作时间~费用关系如下:
| 工作 | 正常持续时间(月) | 最短持续时间(月) | 费用率(万元/月) |
| A | 4 | 4 | ―― |
| B | 3 | 3 | ―― |
| C | 4 | 1 | 4 |
| D | 5 | 2 | 8 |
| E | 8 | 5 | 2 |
| F | 3 | 2 | 5 |
当计划实施到第4各月末时检查发现,工作B已经完成,工作A尚需要3各月才能完成。
(二)问题
1.工作A的实际进度拖延后对总工期有何影响?为什么?
2.如果工作A的实际进度拖后对总工期产生影响,为保证该工程按原计划工期完成,在不改变工作间逻辑关系的前提下,用费用优化的纯压缩法,给出直接费用增加最少的调整方案,并简要写出调整过程。
(三)答题要点
1.将影响总工期3个月,因为A是关键工作。
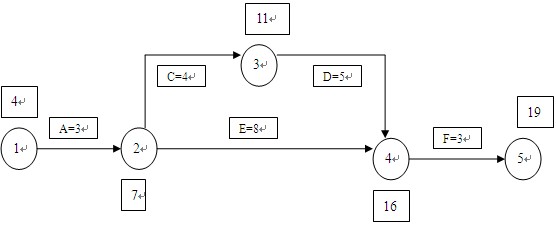
2.用切割法编制第四个月末的剩余网络计划如下图所示。

关键线路:①→②→③→④→⑤。按费用优化的纯压缩法准则,选择费用率最低的关键工作进行压缩。
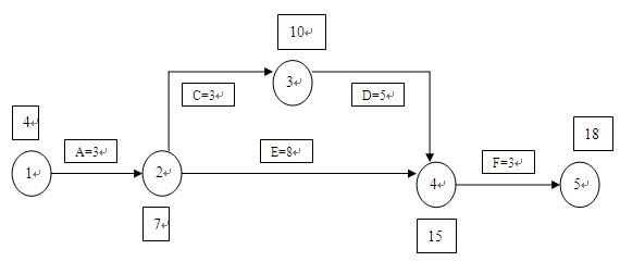
(1)第一次优化。可压缩的工作有C.D.F.选择费用率最低的工作C进行压缩,将其压缩1个月,增加费用4万元,计算工期为18个月。关键线路:①→②→③→④→⑤和①→②→④→⑤。见下图。

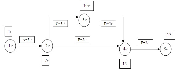
(2)第二次优化。可压缩的工作有C.D.E.F.选择费用率最低的工作F进行压缩,将其压缩1个月,增加费用5万元,计算工期为17个月。关键线路:①→②→③→④→⑤和①→②→④→⑤。见下图。

(3)第三次优化。可压缩的工作有C.D.E.选择费用率最低的工作C和E进行压缩,将其各压缩1个月,增加费用6万元,计算工期为16个月,已经满足要求。

补充说明:
工期优化包括两类方法:
(一)组织平行作业和平行交叉作业
1.将串联工序改为平行作业
2.将串联工序改为平行交叉作业
(二)缩短关键工作的历时
可以从资源、组织、技术等三个方面采取措施。
1.公共工序原则
2.潜力最大原则
3.代价最小原则
(1)缩短工作历时后对质量和安全影响最小。
(2)资源配置方便。
(3)费用率最小。
[参考文献]:本案例涉及工程项目工期优化,详见《工程项目组织与管理》第九章,P231.
更多内容访问>> 咨询工程师考试频道 咨询工程师考试交流论坛 咨询工程师课程免费试听
最新资讯
- 刷题!2026年注册咨询工程师考试模拟题和答案(附免费习题集)2026-04-02
- 2026咨询工程师试题【决策分析与评价】(附习题集)2026-04-02
- 2026咨询工程师试题【宏观经济】(附习题集)2026-04-01
- 2026咨询工程师试题【工程组织与管理】(附习题集)2026-03-27
- 2026年咨询工程师刷题(附在线题库入口及免费习题集)2026-03-26
- 2026年咨询工程师试题精选 + 答案解析2026-01-27
- 2026年咨询工程师题库(附在线题库入口)2026-01-27
- 2025年咨询工程师考试试题模拟2025-04-10
- 考前练习!2025年咨询工程师考试模拟试题及答案2025-04-08
- 2025年咨询工程师模拟题及答案2025-04-02