2012年咨询工程师《方法与实务》考题解析(5)
【参考答案】$lesson$
计算经济分析效益费用值,需要根据国民经济效益费用的范围,以及影子汇率、影子价格等参数,对项目的财务基础数据进行相应的调整。
1.调整建设投资和流动资金
(1)建筑工程费用的调整。按影子价格换算系数1.1对财务评价的建筑工程费用进行调整。由3865万元调到4251.5万元(3865×1.1=4251.5万元)。
(2)设备购置费的调整,外汇部分用影子汇率代替牌价汇率进行调整。即由2115×7.92=16750.8万元调整为2115×7.92×1.08=18090.86万元
(3)安装工程费的调整。外汇部分用影子汇率调整。即由926×7.92=7333.92万元调整为926×7.92×1.08=7920.63万元。
(4)其他费用的调整,包括外汇部分调整和土地费用调整两部分。
第一部分:外汇部分用影子汇率调整。即由252×7.92=1995.84万元调整为252×7.92×1.08=2155.51万元。
第二部分:其他费用中的土地费用的调整,由土地机会成本与新增资源消耗构成。
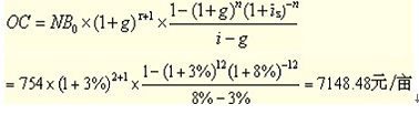
①由已知得,NB0=754元/亩,g=3%,is=8%, ,n=12,每亩土地的机会成本为:

土地机会成本总额=7148.48×200=142.97万元
【参考】:《项目决策分析与评价》第十章,P361~362。
②新增资源消耗的计算。根据已知条件,新增资源消耗和土地机会成本相当,故也按142.97万元计取。
土地费用总额=142.97×2=285.94万元
将285.94万元作为土地费用,替代财务评价其他费用中的土地征购费685万元。
(5)建设期利息作为转移支付从支出中剔除。
(6)依题意,流动资金不用作调整。
经济分析投资调整计算见下表。
建设投资和流动资金调整表 单位:当地货币为万元人民币;外币为万美元

2.调整经营费用
(1)原材料A(外贸货物)的影子价格=到岸价格+进口费用(贸易费用+国内运费)=862×7.92×1.08+862×7.92×6%+80=7862.82元/t。
备注:外贸费用=到岸价格(CIF)×外贸费率。见教材P355~356。
(2)其他项目的调整见经济分析经营费用计算见下表。
经营费用

3.销售收入的调整
产品C的影子价格=离岸价格×影子汇率-出口费用(国内运费+贸易费用)=2620×7.92×1.08-80-2620×7.92×6%=21085.41元/t。
故年销售收入=21085.41×2.85=60093.41万元。


▪ 环球网校2011年咨询工程师(投资)考试辅导通过率90.03%
最新资讯
- 刷题!2026年注册咨询工程师考试模拟题和答案(附免费习题集)2026-04-02
- 2026咨询工程师试题【决策分析与评价】(附习题集)2026-04-02
- 2026咨询工程师试题【宏观经济】(附习题集)2026-04-01
- 2026咨询工程师试题【工程组织与管理】(附习题集)2026-03-27
- 2026年咨询工程师刷题(附在线题库入口及免费习题集)2026-03-26
- 2026年咨询工程师试题精选 + 答案解析2026-01-27
- 2026年咨询工程师题库(附在线题库入口)2026-01-27
- 2025年咨询工程师考试试题模拟2025-04-10
- 考前练习!2025年咨询工程师考试模拟试题及答案2025-04-08
- 2025年咨询工程师模拟题及答案2025-04-02

