中级主管药师考试辅导:硫酸阿托品
更新时间:2010-11-25 14:55:25
来源:|0
浏览
收藏
初级药士/药师/主管药师报名、考试、查分时间 免费短信提醒
中级主管药师考试辅导:硫酸阿托品

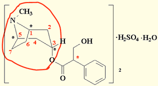
化学名:α-(羟甲基)苯乙酸-8-甲基-8–氮杂双环[3.2.1]-3-辛酯硫酸盐一水合物

性质
⑴碱性:叔胺氮,常用硫酸盐,近中性
⑵水解:生成莨菪醇和消旋莨菪酸,在pH3.5 ~4.0最稳定。
⑶莨菪酸专属反应: Vitali反应
与发烟硝酸加热,加氢氧化钾醇溶液后显紫堇色,
⑷具强碱性,与HgCl2反应析出黄色沉淀
2B + HgCl2 + H2O→HgO↓+2B·HCl
⑸旋光性: 3个手性C,内消旋不产生旋光性;临床用外消旋体(减小毒性)
更多信息访问:中级主管药师考试频道 中级主管药师试论坛 卫生职称博客圈
编辑推荐
下一篇:中级主管药师辅导:氢溴酸山莨菪碱
最新资讯
- 2022年药学职称考试高频考点:钾代谢障碍2022-02-10
- 2022年药学职称考点精讲:干扰素药理作用2022-01-28
- 2022年药学职称重要知识点:磺胺类药物的不良反应2022-01-25
- 2022年药学职称考试考点分享:缺血-再灌注损伤2022-01-11
- 2022年药学职称备考知识点:四环素类不良反应2022-01-10
- 2021年药士\药师\主管药师备考难?快来领取复习宝典!2020-10-27
- 2020年卫生资格初级药士/药师/主管药师各科目考试大纲汇总2019-12-06
- 2019年主管药师考试大纲汇总2019-01-21
- 2019年主管药师考试大纲之专业实践能力2019-01-21
- 2019年主管药师考试大纲之相关专业知识2019-01-21