中级主管药师考试辅导:盐酸地尔硫卓
更新时间:2010-12-14 15:03:47
来源:|0
浏览
收藏
初级药士/药师/主管药师报名、考试、查分时间 免费短信提醒
中级主管药师考试辅导:盐酸地尔硫卓
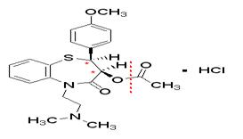
盐酸地尔硫卓

四个立体异构体,临床用(2S,3S)异构体,其冠脉扩张作用较强。
较高首过效应。选择性钙通道阻断剂,对大的冠状动脉和侧支循环有较强扩张作用
临床用于治疗冠心病中各型心绞痛,也有减缓心率的作用。
更多信息访问:中级主管药师考试频道 中级主管药师试论坛 卫生职称博客圈
编辑推荐
上一篇:中级主管药师考试辅导:尼群地平
最新资讯
- 2022年药学职称考试高频考点:钾代谢障碍2022-02-10
- 2022年药学职称考点精讲:干扰素药理作用2022-01-28
- 2022年药学职称重要知识点:磺胺类药物的不良反应2022-01-25
- 2022年药学职称考试考点分享:缺血-再灌注损伤2022-01-11
- 2022年药学职称备考知识点:四环素类不良反应2022-01-10
- 2021年药士\药师\主管药师备考难?快来领取复习宝典!2020-10-27
- 2020年卫生资格初级药士/药师/主管药师各科目考试大纲汇总2019-12-06
- 2019年主管药师考试大纲汇总2019-01-21
- 2019年主管药师考试大纲之专业实践能力2019-01-21
- 2019年主管药师考试大纲之相关专业知识2019-01-21