2014二级建造师建筑工程练习题9
| 导航 | ||||
第1题:某工程由I、Ⅱ、Ⅲ、Ⅳ四个施工过程组成,划分为四个施工段’流水节拍分别为3d、3d、6d、9d,组织成倍节拍流水施工,则该项目的工期为()d。
A.30
B.36
C.42
D.48
标准答案:A
第2题:工作E有四项紧前工作A、B、C、D,其持续时间分别为:A=3.B=5、C=6、D=4,其最早开始时间分别为:A一7、B=5、C一5、D-9,则工作B的自由时为()。
A.1
B.O
C.2
D.3
标准答案:D
工作的最早完成时间一工作最早开始时间十工作的持续时间
A工作的最早完成时间一7+3―10
B工作的最早完成时间一5+5=10
C工作的最早完成时间一5+6=11
D工作的最早完成时间一9+4=13
E工作的最早开始时间一max(紧前工作最早完成时间)
=max{10,10,11,13)=13
B工作的自由时差一紧后工作的最早开始时间一该工作的最早完成时间=13-10-3
第3题:工作A有三项紧后工作B、C、D,其持续时间分别为:B=6、C=8,D=7,LFB一14、LFC=16;LFD=14,则IFA()。
A.5
B.8
C.7
D.3
标准答案:C
答案解析:工作的最迟开始时间一工作的最迟完成时间一工作持续时间
B工作的最迟开始时间一14-6―8
C工作的最迟开始时间一16-8―8
D工作的最迟开始时间一14-7―7
A工作的最迟完成时间一mln{紧后工作的最迟开始时间)
=min{8,8,7)一7
第4题:双代号网络图的绘图应遵循()规则。
A.双代号网络图中,严禁箭线交叉
B.双代号网络图中,应只有一个起点节点
C.双代号网络图中,必须只有一个终点节点
D.双代号网络图中,严禁出现无箭头连线
E.双代号网络图中严禁出现无箭头节点的箭线
标准答案:B, D, E
答案解析:根据双代号网络图的绘图规则:
1)双代号网络图必须正确表达已定的逻辑关系;
2)双代号网络图中,严禁出现循环回路;
3)双代号网络图中,在节点之间严禁出现带双向箭头或没有箭头的连线;
4)双代号网络图中,严禁出现没有箭头节点或没有箭尾节点的箭线;
5)当双代号网络图的某些节点有多条外向箭线或多条内向箭线时,,可以使用母线画法;
6)双代号网络图中应只有一个起点节点;在不分期完成任务的网络图中,应只有一个终点节点;而其他节点应当是中间节点。
在不分期完成任务的网络图中,应只有一个终点节点,而不是网络图必须有一个终点节点,因此应选择B、D、E。
第5题:某分部工程双代号网络计划如下图所示,其作图错误包括()。
A.有多余虚工作
B.有多个终点节点
C.逻辑关系错误
D.节点编号有误
E.有多个起点节点
标准答案:A, D
答案解析:虚工作3一一2,箭头节点编号小于箭尾节点编号,不符合节点编号的原则,节点编号错误,7一一8工作为多余虚工作,应去掉。
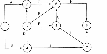
第6题:某工程的网络计划如下图所示:

问题:
(1)该网络计划中F工作的紧前工作有哪几项?工作C的紧后工作有哪几项?
(2)在该网络计划中,哪些工作的关系是平行关系?
(3)如果E工作的最早完成时间为23gH工作的最早完成时间为299G工作的最早完成时间是26,则该网络计划的计算工期为多少天?如果该工程无要求工期,则计划工期应为多少天?
(4)如果B工作的最迟完成时间是13,持续时间是59C工作的最迟完成时间是15,续时间是8,D工作的最迟完成时间是14,持续时间是6,则A工作的最迟完成时间是少?
标准答案:(1)F工作的紧前工作有B、C、D三项工作。工作C的紧后工作是F工作。
(2)在该网络计划中,B、C、D三项工作是平行关系。
(3)EFE=23,EFH=29,EFG=26,则计算工期=MAX{23,29,26)=29(D)
无要求工期时,计划工期=计算工期=29(D)
(4)LFB=13,DB=5,LSB=13―5=8
LFC=15,C=8,LSC=15―8=7
LFD=14,DD=6,LSD=14―6=8
LFA=MIN{8,7,8}=8
关 注:
成绩查询>>2013年各省市二级建造师考试成绩查询专题
考试真题>>2013年各科考试真题汇总专题
合格标准>>2013年各省二级建造师考试合格标准
环球网校友情提示:如果您在此过程中遇到任何疑问,请登录环球网校二级建造师频道及论坛,随时与广大考生朋友们一起交流!
编辑推荐:
最新资讯
- 2026年二建题库:万人模考卷及分析(工程法规第二期)2026-04-25
- 2026年二级建造师案例核心50题PDF下载及使用指南2026-04-17
- 2026年二建全专业案例冲刺宝典:案例题核心50题PDF下载2026-04-17
- 2026年二级建造师案例题核心50题:实务通关的终极提分利器2026-04-17
- 冲刺决胜局!2026二建《案例核心50题》——考前压舱石,高分直通车2026-04-17
- 2026二建最后43天冲刺:强烈推荐这份案例核心50题(附下载方式)2026-04-16
- 重磅推荐!2026二建案例核心50题,免费PDF助力实务高分通关2026-04-16
- 2026年二建实务,这套案例题核心50题你必须拥有(附免费下载方式)2026-04-16
- 别再盲目刷题!2026二建案例题核心50题,教你用最少时间拿下80分2026-04-16
- 2026二建案例题核心50题:实务冲关最后一步,80分大题这样拿稳2026-04-16