环境影响评价技术方法第八讲讲义精选1
二.河流水质数学模式预测方法(掌握)
(1)河流稀释混合模式
①点源(会计算)
C= cpQp+chQh/Qp+Qh
式中c―一完全混合的水质浓度,mg/L;
Qp――上游来水设计水量,m3/s;
Cp――设计水质浓度,mg/L;
Qh――污水设计流量,m3/s;
Ch―――设计排放浓度,mg/L。
例题:上游来水COD(p) =14.5mg/L,Qp=8.7m3/s;污水排放源强COD(h)=58 mg/L, Qh=1.1m3/s.
如忽略排污口至起始断面间的水质变化,且起始断面的水质分布均匀,则起始断面的CODcr浓度是?
解析:按公式C= cpQp+chQh/Qp+Qh
=[14.5×8.7)+(58×1)]/(8.7+1)=19
②非点源

式中Ws――沿程河段内非点源汇人的污染物总负荷量,kg/d;
Q――下游x距离处河段流量,m3/s;
Qs――沿程河段内非点源汇人的污染物总负荷量,m3/s;
xs――控制河段总长度,km;
x――沿程距离,km。
③考虑吸附态和溶解态污染指标耦合模型

式中c――-溶解态浓度,mg/L;
X――单位质量固体颗粒吸附的污染物质量,mg/kg;
Kp―一分配系数,L/mg。
对于有毒有害污染物:
式中 cT――总浓度,mg/L;
S――悬浮固体浓度,mg/L
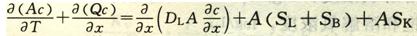
(2)河流的一维稳态水质模式

式中A――-河流横断面面积;
c――水质组分浓度;
Q――河流流量;
DL――――综合的纵向离散系数;
SL――直接的点源或非点源强度;
SB――上游区域进人的源强;
SK――-动力学转化率。
网校环境影响评价师频道>>> 2010年环境影响评价师辅导招生简章>>> 考后学员交流反馈>>>
?2010环境影响评价工程师网络远程辅导方案
?课程将全部采用宽频教学,现在报名,立即上课
?环境影响评价工程师职业资格制度问答
最新资讯
- 2026年环境影响评价工程师题库:历年真题+模拟试题+考试大纲,轻松应对考试挑战2026-01-12
- 环评工程师备考经验:2026年环评工程师考试全年学习计划来袭!2025-08-21
- 2025年环境影响评价工程师考试真题与考前资料对比(法规+导则+技法)2025-07-04
- 2025年环境影响评价师《环境影响评价技术导则与标准》真题与考前资料对比2025-07-04
- 2025年环境影响评价师《环境影响评价相关法律法规》真题与考前资料对比2025-07-04
- 2025年环境影响评价师《环境影响评价技术方法》真题与考前资料对比2025-07-04
- 2025年环评师考试真题考情分析(4科目)2025-07-04
- 考前资料:2025年环评师考试思维导图-环境影响评价相关法律法规2025-06-11
- 考前资料:2025年环评师考试思维导图-环境影响评价技术方法(内含7个章节)2025-06-11
- 考前资料:2025年环评师考试思维导图-《环境影响评价技术导则与标准》2025-06-10