环境影响评价技术方法第八讲讲义精选3
更新时间:2009-10-19 15:27:29
来源:|0
浏览
收藏
环境影响评价师报名、考试、查分时间 免费短信提醒


三.湖泊、水库水环境影响预测方法(了解)
(1)湖泊、水库水质箱模式

式中V――一湖泊中水的体积、m3,
Q―――平衡时流人与流出湖泊的流量,m3/a;
CE―――流人湖泊的水量中水质组分浓度,g/m3;
c――一湖泊中水质组分浓度,g/m3;
Sc――如非点源一类的外部源或汇m3;
r(c)――水质组分在湖泊中的反应速率。
(2)湖泊、水库富营养化预测模型(磷负荷模型)
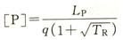
①Vollenweider负荷模型

式中〔P]――磷的年平均浓度,mg/m3;
Lp―一年总磷负荷/水面面积,mg/m2;
q――一年人流水量/水面面积,。3/m2;
TR―一容积/年出流水量,。3/rn3。
网校环境影响评价师频道>>> 2010年环境影响评价师辅导招生简章>>> 考后学员交流反馈>>>
?2010环境影响评价工程师网络远程辅导方案
?课程将全部采用宽频教学,现在报名,立即上课
?环境影响评价工程师职业资格制度问答
编辑推荐
最新资讯
- 2026年环境影响评价工程师题库:历年真题+模拟试题+考试大纲,轻松应对考试挑战2026-01-12
- 环评工程师备考经验:2026年环评工程师考试全年学习计划来袭!2025-08-21
- 2025年环境影响评价工程师考试真题与考前资料对比(法规+导则+技法)2025-07-04
- 2025年环境影响评价师《环境影响评价技术导则与标准》真题与考前资料对比2025-07-04
- 2025年环境影响评价师《环境影响评价相关法律法规》真题与考前资料对比2025-07-04
- 2025年环境影响评价师《环境影响评价技术方法》真题与考前资料对比2025-07-04
- 2025年环评师考试真题考情分析(4科目)2025-07-04
- 考前资料:2025年环评师考试思维导图-环境影响评价相关法律法规2025-06-11
- 考前资料:2025年环评师考试思维导图-环境影响评价技术方法(内含7个章节)2025-06-11
- 考前资料:2025年环评师考试思维导图-《环境影响评价技术导则与标准》2025-06-10