环境影响评价技术方法第八讲讲义精选5
更新时间:2009-10-19 15:27:29
来源:|0
浏览
收藏
环境影响评价师报名、考试、查分时间 免费短信提醒
第三节河流水质模型的应用
一河流水质模型选择(了解)
1. 水质模型的空间维数
L=(0.4B-0.6a)Bu/(0.058H+0.0065B)(ghi)0.5
理解每个字母的含义
例题解析:一均匀稳态河段,河宽B=100m,平均水深H=2m,流速u=0.5m/s,平均底坡i=0.0005.一拟建项目以岸边和河中心两种方案排放污水的完全混合距离分别是?
解析:利用上述公式L=(0.4B-0.6a)Bu/(0.058H+0.0065B)(ghi)0.5
求岸边距离和中心距离中a值分别取0和50m..最后答案分别是26374.7m和6593.7m
2.流水质模型选择(熟悉) 见表5-5。
表5-5 河流水质模型选择

二.河流水质模型参数的确定方法(掌握)
河流水质模型参数的确定方法有:公式计算和经验估值、室内模拟实验测定、现场实测、水质数学模型测定。
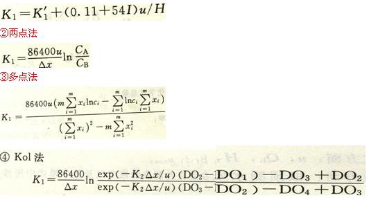
(1)耗氧系数K1的单独估值方法
①实验室测定法

网校环境影响评价师频道>>> 2010年环境影响评价师辅导招生简章>>> 考后学员交流反馈>>>
?2010环境影响评价工程师网络远程辅导方案
?课程将全部采用宽频教学,现在报名,立即上课
?环境影响评价工程师职业资格制度问答
编辑推荐
最新资讯
- 2026年环境影响评价工程师题库:历年真题+模拟试题+考试大纲,轻松应对考试挑战2026-01-12
- 环评工程师备考经验:2026年环评工程师考试全年学习计划来袭!2025-08-21
- 2025年环境影响评价工程师考试真题与考前资料对比(法规+导则+技法)2025-07-04
- 2025年环境影响评价师《环境影响评价技术导则与标准》真题与考前资料对比2025-07-04
- 2025年环境影响评价师《环境影响评价相关法律法规》真题与考前资料对比2025-07-04
- 2025年环境影响评价师《环境影响评价技术方法》真题与考前资料对比2025-07-04
- 2025年环评师考试真题考情分析(4科目)2025-07-04
- 考前资料:2025年环评师考试思维导图-环境影响评价相关法律法规2025-06-11
- 考前资料:2025年环评师考试思维导图-环境影响评价技术方法(内含7个章节)2025-06-11
- 考前资料:2025年环评师考试思维导图-《环境影响评价技术导则与标准》2025-06-10