环境影响评价技术方法第九讲讲义精选3
更新时间:2009-10-19 15:27:29
来源:|0
浏览
收藏
环境影响评价师报名、考试、查分时间 免费短信提醒
第八章声环境影响预测与评价
第二节.声环境影响评价基础(掌握)
(1)声音三要素声源、介质、接收器。
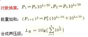
(2)噪声级的相加
①公式法

合成声压级:L1+2=10lg(10L1/10+10L2/10)(重点)
例题1:L1=80dB , L2=80dB.求L1+2=?
L1+2=10lg(1080/10+1080/10)=3+80=83
例题2 L1=100dB , L2=98dB.求L1+2=?
L1+2=10lg(10100/10+1098/10)=102.1
②查表法
记住声压级差( L1-L2)dB,0对应增值△L为3,6对应为1
例题。某工厂机器噪声声源附近测得噪声声压级为67dB,背景值为60 dB,机器的噪声是()dB。
解析:方法一是公式法,直接带入公式。方法二就是查表法,但需要记住两个数字,声压级差( L1-L2)dB,0对应增值△L为3,6对应为1。所以两声压级差为6时,增值1dB,从题干可知C符合条件。

(2)线声源随传播距离增加引起的衰减(掌握)
式中ΔL――距离增加产生衰减值,dB;
r――线声源至受声点的距离,m;
l――线声源的长度,m。
①无限长线声源

网校环境影响评价师频道>>> 2010年环境影响评价师辅导招生简章>>> 考后学员交流反馈>>>
?2010环境影响评价工程师网络远程辅导方案
?课程将全部采用宽频教学,现在报名,立即上课
?环境影响评价工程师职业资格制度问答
编辑推荐
最新资讯
- 2026年环境影响评价工程师题库:历年真题+模拟试题+考试大纲,轻松应对考试挑战2026-01-12
- 环评工程师备考经验:2026年环评工程师考试全年学习计划来袭!2025-08-21
- 2025年环境影响评价工程师考试真题与考前资料对比(法规+导则+技法)2025-07-04
- 2025年环境影响评价师《环境影响评价技术导则与标准》真题与考前资料对比2025-07-04
- 2025年环境影响评价师《环境影响评价相关法律法规》真题与考前资料对比2025-07-04
- 2025年环境影响评价师《环境影响评价技术方法》真题与考前资料对比2025-07-04
- 2025年环评师考试真题考情分析(4科目)2025-07-04
- 考前资料:2025年环评师考试思维导图-环境影响评价相关法律法规2025-06-11
- 考前资料:2025年环评师考试思维导图-环境影响评价技术方法(内含7个章节)2025-06-11
- 考前资料:2025年环评师考试思维导图-《环境影响评价技术导则与标准》2025-06-10