环境影响评价技术方法第十一讲讲义精选4
更新时间:2009-10-19 15:27:29
来源:|0
浏览
收藏
环境影响评价师报名、考试、查分时间 免费短信提醒
(4)填埋场渗滤液中污染物的迁移转化
①渗滤液实际渗流速度

式中v――渗滤液实际渗流速度,cm/s;
q――单位时间渗漏率,cm/s; ――多孔介质的有效空隙度。
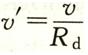
②污染物迁移速度

式中Rd――污染物在地质介质中的滞留因子,无量纲。
第四节固体废物环境影响评价的主要内容及特点(熟悉)
(1)间体废物环境影响评价的类型与内容 见表5-8。
表5-8 固体废物环境影响评价类型与内容
|
固体废物环境影响评价关型 |
|
|
一般工程项目产生的固体废物,由产生、收集、运输、处理到最终处置的环境影响评价 |
①污染源调查;②污染防治措施的调查清单;
③提出最终处旨措施方案 |
|
对处理、处置固体废物设施建设项目的环境影响评价 |
①厂址选择;②污染控制项目;③污染物排放限制 |
(2)固体废物环评的特点
①涉及固体产生、收集、储存、运输、预处理直至处置的各个过程。
②需要规避运输风险。
第五节垃圾填埋场的环境影响评价(重点)
(1)垃圾填埋场的主要污染源(掌握)
①渗滤液。
②填埋场释放气体。
年轻填埋场(5年以下)特点:PH值较低,BOD5及COD 浓度较高。BOD5/COD的比值较高。
年老填埋场(5年以上)特点:PH值接近中性或弱碱性,BOD5及COD 浓度较低。BOD5/COD的比值较低。
(2)垃圾填埋场的主要环境影响(掌握)
①填埋场渗滤液泄漏或处理不当对地下水及地表水的污染。
②填埋场产生气体排放对大气的污染、对公众健康的危害以及可能发生的爆炸对公众安全的威胁。
③填埋场的存在对周围景观的不利影响。
④填埋作业及垃圾堆体对周围地质环境的影响。
⑤填埋机械噪声对公众的影响。
网校环境影响评价师频道>>> 2010年环境影响评价师辅导招生简章>>> 考后学员交流反馈>>>
?2010环境影响评价工程师网络远程辅导方案
?课程将全部采用宽频教学,现在报名,立即上课
?环境影响评价工程师职业资格制度问答
编辑推荐
最新资讯
- 2026年环境影响评价工程师题库:历年真题+模拟试题+考试大纲,轻松应对考试挑战2026-01-12
- 环评工程师备考经验:2026年环评工程师考试全年学习计划来袭!2025-08-21
- 2025年环境影响评价工程师考试真题与考前资料对比(法规+导则+技法)2025-07-04
- 2025年环境影响评价师《环境影响评价技术导则与标准》真题与考前资料对比2025-07-04
- 2025年环境影响评价师《环境影响评价相关法律法规》真题与考前资料对比2025-07-04
- 2025年环境影响评价师《环境影响评价技术方法》真题与考前资料对比2025-07-04
- 2025年环评师考试真题考情分析(4科目)2025-07-04
- 考前资料:2025年环评师考试思维导图-环境影响评价相关法律法规2025-06-11
- 考前资料:2025年环评师考试思维导图-环境影响评价技术方法(内含7个章节)2025-06-11
- 考前资料:2025年环评师考试思维导图-《环境影响评价技术导则与标准》2025-06-10