环境影响评价技术方法第十一讲讲义精选1
7.水体富营养化预测(了解)
水体富营养化是指人为因素引起的湖泊、水库中氮、磷增加对其水生生态产生不良的影响。其主因是磷增加,同时也与氮含量、水温及水体特征有关。
(1)流域污染源调查
①湖泊总磷浓度

总磷浓度10mg/m3以下时,基本不会发生藻花和降低水透明度。总磷浓度20mg/m3时,伴随大量藻类。
②最大可接受负荷量:总磷浓度10mg/m3。
③总磷的收支数据计算法:输出系数法和实测法。
④总磷的外负荷和内负荷
外负荷:从湖泊外部输人的磷。
内负荷:由湖泊内释放的磷引起的富营养化。
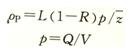
(2)营养物质负荷法预测富营养化
①总磷负荷规范化公式

②湖泊富营养化等级
TP<10mg/m3为贫营养;TP在10~20mg/m3为中营养;TP>20mg/m3为富营养。
(3)营养状况指数法预测富营养化
①营养状况指数TSI计算
透明度参数式:TSI=60―14.4l lnSD
叶绿素 a参数式:TSI=9.8l lnChl+30.6
总磷参数式:TSI=14.42 InTP+4.15
②营养状况评判标准
TSI<40为贫营养;TSI在40~50为中营养;TSITh50为富营养。
8.生态制图(了解)
(1) 生态制图要求
①由正规比例的基础图件和评价成果图件组成。
②三级评价项目要完成土地利用现状图和关键评价因子的评价成果图。
③二级评价项目要完成土地利用现状图、植被分布图、资源分布图等基础图件和主要评价因子的评价和预测成果图。
④一级项目除完成上述图件和达到上述要求以外,要用图形、图像显示评价区域全方位的评价和预测成果。
(2)生态制图数据获取
包括基础图件和专项图件。
(3)生态制图的编制
①图件的录人。
②图件编辑和配准。
③图件提取。
④空间分析。
⑤图件输出。
9.景观美学影响评价(了解)
(1)基本知识
景观:指视觉意义上的景物、景色、景象和印象,即美学意义*的景观。
景观可以分为自然景观和人文景观两大类。人文景观还包括自然与人文合成的城市景观。 (2)建设项目景观影响评价程序
①确定视点。
②进行敏感性识别。
③对评价重点进行景观阈值评价、美学评价、资源性评价。
④景观美学影响评价。
⑤景观保护措施研究和美学效果与技术经济评价。
(3)敏感度评价指标
①视角或相对坡度。
②相对距离。
③视见频率。
④景观醒目程度。
(4)阈值评价
景观阈值:景观体对外界干扰的耐受能力,同化能力和恢复能力。
(5)美学评价
包括自然景观实体的客观美学评价和评价者的主观观感两部分。一般以客观美学评价为主,以主观观感评价为辅。
网校环境影响评价师频道>>> 2010年环境影响评价师辅导招生简章>>> 考后学员交流反馈>>>
?2010环境影响评价工程师网络远程辅导方案
?课程将全部采用宽频教学,现在报名,立即上课
?环境影响评价工程师职业资格制度问答
最新资讯
- 2026年环境影响评价工程师题库:历年真题+模拟试题+考试大纲,轻松应对考试挑战2026-01-12
- 环评工程师备考经验:2026年环评工程师考试全年学习计划来袭!2025-08-21
- 2025年环境影响评价工程师考试真题与考前资料对比(法规+导则+技法)2025-07-04
- 2025年环境影响评价师《环境影响评价技术导则与标准》真题与考前资料对比2025-07-04
- 2025年环境影响评价师《环境影响评价相关法律法规》真题与考前资料对比2025-07-04
- 2025年环境影响评价师《环境影响评价技术方法》真题与考前资料对比2025-07-04
- 2025年环评师考试真题考情分析(4科目)2025-07-04
- 考前资料:2025年环评师考试思维导图-环境影响评价相关法律法规2025-06-11
- 考前资料:2025年环评师考试思维导图-环境影响评价技术方法(内含7个章节)2025-06-11
- 考前资料:2025年环评师考试思维导图-《环境影响评价技术导则与标准》2025-06-10