2013年环境影响评价师《技术方法》模拟试题(4)
31.为了说明大气降水对地下水的补给情况,通常用(C)来度量。
A.地下水均衡值
B.径流模数
C.入渗系数
D.下渗系数
32.根据(A)将地下水分为包气带水、潜水和承压水。
A.埋藏条件
B.来源
C.受引力作用的条件
D.含水空隙的类型
33.矩阵法在环境影响识别中是以(D)的方式说明拟建项目的环境影响。
A.定性
B.定量
C.半定量
D.定性或半定量
34.被调查水域的环境质量要求较高,且评价等级为一、二级时,应考虑调查(A)。
A.水生生物和底质
B.底质
C.水生生物
D.浮游生物
35.推流迁移过程中,污染物的(B)保持不变。
A.所处的位置。
B.污染物的浓度
C.污染物质量通量
D.污染物的化学组成
36.地表水环境影响预测方法的理论基础是(D)
A.污染物的自身特性
B.水体的自净恃性
C.水体的水质指标
D.水体的污染特性
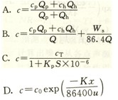
37.河流稀释混合模式中点源稀释混合模式是(A)。

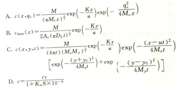
38.常规污染物瞬时点源河流一维水质预测模式的基本水质方程为:

那么,在距离瞬时点源下游。处的污染物浓度峰值表达式为(B)。

39.L1=80dB , L2=80dB.求L1+2=?( A)
A.83
B.75
C.86
D.90
解析:L1+2=10lg(1080/10+1080/10)=3+80=83
40. L1=100dB , L2=98dB.求L1+2=?(A)
A.102.1
B.103
C.105.3
D.106
解析:L1+2=10lg(10100/10+1098/10)=102.1
权威老师主讲2012年度环评师课程 环评师考试论坛学员交流热烈讨论
最新资讯
- 2026年环境影响评价工程师题库:历年真题+模拟试题2026-02-03
- 2025年环境影响评价工程师题库:历年真题回顾+2025年思维导图2025-06-13
- 2025年环境影响评价师考试考前学习方法:真题题库在线刷2025-05-16
- 2023年环境影响评价工程师考试试题2023-10-09
- 23年环境影响评价师导则模拟试题2023-10-08
- 2024年环境影响评价师技法模拟试题2023-10-06
- 2024年环境影响评价师导则模拟试题2023-10-05
- 2024年环境影响评价师案例模拟试题2023-10-04
- 2024年环境影响评价师法规模拟试题2023-10-03
- 2024年环境影响评价师模拟练习题2023-09-29
