结构工程师模拟题:特殊截面上的剪力、弯矩值(2)
更新时间:2010-06-28 09:20:07
来源:|0
浏览
收藏
结构工程师报名、考试、查分时间 免费短信提醒
[例5—6—2] 写出图示梁的剪力方程和弯矩方程,井作剪力图和弯矩图。

[解] 1.求支座反力

故所求的支座反力正确。
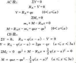
2.分段建立剪力方程和弯矩方程

3.作剪力图和弯矩图
根据AC段,CB段剪力方程绘制剪力图
AC段 V为常量,故y图为水平线。
CB段 V为一次函数,因而y图为斜直线:只需确定两个截面V值。

根据AC段,CB段弯矩方程绘制弯矩图
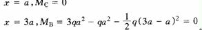
AC段 M为一次函数,因而M图为一斜直线,只需确定两个截面M值。
![]()
CB段 M为二次抛物线,只少要确定三个截面M值,然后用光滑曲线连起来。
![]()
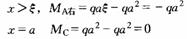
抛物线顶点在 V=2qa-qx=0处
x=2a
![]()
2010年注册结构工程师考试报名时间信息汇总
结构工程师基础科目(一)考试普通化学练习题汇总
2010年结构师考试9月18、19日
更多信息请访问:结构工程师频道 结构工程师论坛
编辑推荐
最新资讯
- 2025年二级结构工程师考试都是选择题吗?题型分布与备考策略全解析2025-10-30
- 2025年一级注册结构工程师模拟题终极指南:高效备考冲刺全攻略2025-10-30
- 2025年二级结构工程师专业考试模拟题解析,免费下载!备考冲刺必备资料2025-10-29
- 注册结构工程师模拟考试题2023-04-23
- 一级注册结构工程师模拟题下载2023-04-21
- 一级注册结构工程师模拟题2023-04-20
- 2022年一级注册结构工程师试题2022-04-11
- 2021年注册结构工程师考前复习练习题汇总(含模拟题、历年真题)2021-09-28
- 2021年二级注册结构工程师专业考试冲刺试题及答案(十)2021-09-16
- 2021年二级注册结构工程师专业考试冲刺试题及答案(九)2021-09-15