2013年初级社工师《实务》考试真题[31-60]
课程推荐:2014年社会工作者VIP直播保过|全科保过|单科全程|老学员特惠
31.社会工作者运用理性情绪治疗模式开展小组工作以回应社区服刑人员不服判决的问题。在小组活动中,社会工作者正确运用非理性信念检查技巧的做法是( )。
A.对有进步的组员进行奖励
B.让组员扮演特定的角色
C.让组员大声朗读相关规定
D.让组员模仿别人受到奖励的行为
32.张大爷是位一级伤残的优抚对象,近日,老伴因心脏病突发离世。护理员反映,张大爷已两天没吃饭了,身体非常虚弱。社会工作者小王立即联系优抚医院的医生为张大爷检查身体,并一直陪伴在其身边,安抚他的情绪。此案例中,小王采取了( )方法。
A.环境干预
B.认知千预
C.行为干预
D.危机干预
33.部分优抚安置对象在由军人到老百姓的角色转换过程中,常会产生一些负面情绪。社会工作者运用理性情绪疗法协助这些服务对象适应角色转变。在此过程中,社会工作者扮演的主要角色是( )。
A.管理者
B.教育者
C.倡导者
D.协调者
34.大军退伍半年多了,一直没有找到合适的工作。上幼儿园的儿子每月需不菲的开销,近日,母亲又生病住院花费不少,这些都让大军倍感压力,情绪低落。社会工作者多次与大军沟通,了解其需要,并为其申请了短期临时救助,以解燃眉之急。此案例中,社会工作者发挥的作用是( )。
A.减缓压力
B.鼓励赞许
C.控制情绪
D.激发动机
35.老张在服役期间多次立功受奖。如今他居住在光荣院,尽管衣食无忧,却觉得生活越来越没有意义。老张常常独自躲在屋子里,靠整理战友照片和摆弄勋章打发时光。每当想起为保护自己而牺牲的战友,以及未见到最后一面就去世的老母亲,他就心生愧疚。社会工作者在运用人生回顾的方法予以干预的过程中,应当重点帮助老张( )。
A.寻找当下生命的意义
B.弥补过往生活的遗憾
C.治疗痛苦经历带来的创伤
D.享受集体生活的快乐
推荐:2013年社会工作者考试成绩查询专题 2014年社会工作者职业水平考试辅导招生简章
环球网校友情提示:如果您在此过程中遇到任何疑问,请登录环球网校社会工作者频道或论坛,或加环球网校社会工作者考试QQ群:247521213,我们随时与广大考生朋友们一起交流!
课程推荐:2014年社会工作者VIP直播保过|全科保过|单科全程|老学员特惠
36.流浪儿童小花被送到救助管理站并接受专业服务。救助管理站的医生为她做了详细的身体检查,发现她身上有多处新旧伤痕。但无论医生和民警怎样劝说,她始终不肯开口。针对上述情况,救助管理站的社会工作者首先要做的是( )。
A.运用游戏引
导小花打开心扉
B.与民警合作寻找小花的家人
C.运用直接影响技巧开展个案辅导
D.发放联系卡以便小花在需妥时能获得帮助
37.某社会工作服务机构今年社会救助的服务主题是“社区反贫困能力建设”。下列最符合该主题的做法是( )。
A.协助救助对象成立合作社,培育社区领袖
B.联系各类服务组织,为救助对象提供更多的服务
C.帮助救助对象拓展社会交往修复或建立各类社会关系
D.将贫困群体的生存状况、问题与需求反映给相关社会救助部门
38.未成年人保护中心为流浪儿童提供全方位的服务。下列服务中,不属于流浪儿童救助服务的是( )。
A.物质帮助
B.品行教育
C.回归家庭
D.合法收养
39.家庭社会工作是社会工作专业的实践领域之一。下列家庭社会工作的说法,正确的是( )。
A.家庭社会工作就是家庭治疗
B.家庭社会工作与家庭治疗截然不同
C.家庭社会工作是家庭治疗的一个分支
D.家庭社会工作与家庭治疗既有联系又有区别
40.大李夫妇有一个15岁的孩子,一直以来,孩子的大小事情都由父母安排。最近一年,他们发现孩子脾气越来越坏,不服父母的管教,事事要自己做主,有时还与父亲发生激烈争吵。从家庭生命周期的角度来看,该家庭目前最重要的任务是( )。
A.调整夫妻角色,共同教育孩子
B.调整夫妻关系,促进孩子的自立
C.调整家庭关系,满足孩子的独立要求
D.调整夫妻角色,适应不以孩子为中心的角色
推荐:2013年社会工作者考试成绩查询专题 2014年社会工作者职业水平考试辅导招生简章
环球网校友情提示:如果您在此过程中遇到任何疑问,请登录环球网校社会工作者频道或论坛,或加环球网校社会工作者考试QQ群:247521213,我们随时与广大考生朋友们一起交流!
课程推荐:2014年社会工作者VIP直播保过|全科保过|单科全程|老学员特惠
41.大力夫妻带着16岁的女儿来见社会工作者,女儿出现厌食症已有半年,明显消瘦,无法上学。面谈过程中,社会工作者发现,大力因婚外情一年前开始与妻子闹离婚,很少回家。大力的妻子除了哭泣,就是在女儿面前不停地抱怨丈夫。社会工作者经过分析,认为女儿的厌食症与他们的夫妻关系有关。根据结构式家庭治疗原理,社会工作者对该家庭干预的主要目标应是( )。
A.改善夫妻关系,帮助夫妻妥善处理婚姻问题
B.改善亲子关系,减少母亲情绪对女儿的负面影响
C.重构家庭界限,引导母亲不再让女儿涉入夫妻次系统
D.调整家庭结构,协助父母齐心协力帮助女儿走出困境
42.在倾听了一对夫妻对孩子许多不满和抱怨之后,社会工作者采用聚焦技巧将这对夫妻的注意力集中到需要解决的问题上。下列回应中,正确的是( )。
A.“你们对孩子有许多不满,目前你们最想解决的是什么?”
E.“你们对孩子有许多不满,让我们从最让你们头痛的地方开始”。
C.“你们对孩子有许多不满,平时遇到这些情况,你们是怎么处理的?”
D.“你们对孩子有许多不满,但一下子又无法解决,你们认为该怎么办? ”
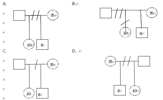
43.阿丽今年35岁,因性格不合,与丈夫离婚。目前,她一个人带着8岁的儿子在城市打工,把10岁的女儿留给了丈夫。根据上述案例介绍,社会工作者绘制的家庭结构图中正确的是( )。

44.小明是小学五年级学生。最近,父母发现小明对学习数学越来越没有兴趣,作业拖沓,有时故意把数学作业本留在学校,回家不做作业。为此,父母苦口婆心地劝说小明,甚至责骂他,但都没有什么效果。社会工作者了解了小明的家庭教育情况后,决定采用家庭行为学习的方式帮助小明。下列做法中,正确的是( )。
A.改变小明父母教育子女的态度
B.改变小明父母之间的沟通方式
C.指导小明制订详细的数学学习计划
D.指导小明父母及时肯定小明数学学习的进步
45.小李夫妇向社会工作者抱怨上中学的儿子大大咧咧,对什么事都不上心。社会工作者听了他们的描述之后,希望运用再标签的技巧改变夫妻俩的态度。社会工作者的下列回应中,正确的是( )。
A.“每个人都有缺点,孩子也一样”。
B.“孩子有缺点,也一定有优点。他有什么优点?”
C.“如果遇到压力,孩子大大咧咧的性格有什么作用?”
D.“你们不去注意孩子的缺点,他的缺点就不会那么突出”。
推荐:2013年社会工作者考试成绩查询专题 2014年社会工作者职业水平考试辅导招生简章
环球网校友情提示:如果您在此过程中遇到任何疑问,请登录环球网校社会工作者频道或论坛,或加环球网校社会工作者考试QQ群:247521213,我们随时与广大考生朋友们一起交流!
课程推荐:2014年社会工作者VIP直播保过|全科保过|单科全程|老学员特惠
46.在学校开展小组辅导时,社会工作者应遵循的原则是( )。
A.以教师为主体
B.保持小组异质性
C.以自愿和需求为本
D.强调学生个性需要
47.学校社会工作者小李运用抗逆力理论设计服务方案,将服务重点聚焦在提升学生的人际交往能力、解决问题能力和自我管理能力等方面。小李的服务方案强调抗逆力中的( )因素。
A.效能 B.内在优势
C.乐观 D.外部支持
48.在一所打工子弟学校开展服务时,社会工作者发现这所学校的一部分学生刚从农村来到城市,生活不习惯,学习基础差、压力大,导致自我评价较低。为了提升这些学生的自我认识能力,社会工作者最宜开展的服务是( )。
A.提供学业发展辅导
B.开办情绪管理小组
C.提供生涯规划辅导
D.开办自我成长小组
49.小芳原来学习成绩在班里名列前茅,但自初中以来,她每天上课无精打采,情绪低落,下课后也是独来独往,有时甚至不来上课,成绩直线下降。社会工作者初步预估后发现,一年前小芳父母离了婚,母亲外地打工,将小芳交给年迈的外婆照顾。社会工作者与班主任沟通了小芳的情况,请班主任照顾小芳的学习和生活。一段时间后,小芳的脸上又有了笑容,学习成绩也提高了。本案例中,社会工作者运用了( )的方法增强小芳的抗逆力。
A.教授生活技能
B.提供关怀与支持
C.提出高期望
D.提供机会促进参与
50.某老旧小区失业、低保人员较多,便民设施缺乏,居民日常生活不便。社会工作者分析了社区的具体情况后,与相关政府部门取得联系,开设便民餐车和家电维修点,既改善了小区便民设施少的状况,又开发了就业岗位。在本案例中,社会工作者采用的社区工作方法是( )。
A.地区发展
B.社会策划
C.社会行动
D.社会倡导
推荐:2013年社会工作者考试成绩查询专题 2014年社会工作者职业水平考试辅导招生简章
环球网校友情提示:如果您在此过程中遇到任何疑问,请登录环球网校社会工作者频道或论坛,或加环球网校社会工作者考试QQ群:247521213,我们随时与广大考生朋友们一起交流!
课程推荐:2014年社会工作者VIP直播保过|全科保过|单科全程|老学员特惠
51.某社区在改造过程中,社会工作者促成当地政府与受此影响的居民一起商讨改造计划。居民的这种社区参与形式是( )。
A.咨询
B.协商
C.告知
D.共同行动
52.甲社区流动儿童较多,放学后回到社区无人照看,危险频出,居民反映强烈。与甲社区相邻的乙社区有一家社会工作服务机构,具有丰富的流动儿童服务经验,但没有开展服务的场地。于是,甲社区与乙社区协商并达成合作协议,由甲社区提供场地和配套经费,由乙社区的社会工作者开展社区课后辅导服务。本案例中的资源连接方式属于( )。
A.资源共享
B.资源协调
C.资源整合
D.资源流通
53.社会工作者小王受区妇联委托,在其服务的社区开展受虐妇女的服务需求调查。受虐妇女们受到“家丑不能外扬”这一传统观念的影响,最初不愿接受小王的访谈。在小王的关心、支持和不懈努力下,受虐妇女们终于敞开心扉,讲述她们的受虐经历和应对策略。受虐妇女们的讲述反映了她们的( )。
A.表达性的需求
B.比较性的需求
C.感觉性的需求
D.规范性的需求
54.社会工作者针对社区中空巢和独居老人较多的现象,为这些老人建立互助网络。下列做法中,最合适的是( )。
A.建立社区老人支持小组
B.动员医生上门为老人义诊
C.动员老人的亲友经常探望老人
D.联系养老机构为老人提供上门服务
55.某古镇被国家列为重点文物保护单位。为保护古镇风貌,当地政府准备对古镇及周边地区重新规划。涉及古镇部分居民搬迁的新规划草案公布后,人们议论纷纷,很多居民因在古镇上做生意而不愿搬迁。面对这种情况,社会工作者首先要做的工作是( )。
A.组织志愿者帮助居民完成搬迁
B.邀请邻近社区居民介绍搬迁经验
C.在政府有关部门支持下,召开居民代表恳谈会
D.人力宣传保护古镇对当地经济发展的重要意义
推荐:2013年社会工作者考试成绩查询专题 2014年社会工作者职业水平考试辅导招生简章
环球网校友情提示:如果您在此过程中遇到任何疑问,请登录环球网校社会工作者频道或论坛,或加环球网校社会工作者考试QQ群:247521213,我们随时与广大考生朋友们一起交流!
课程推荐:2014年社会工作者VIP直播保过|全科保过|单科全程|老学员特惠
56.某社区地处城郊结合部,流动人口多,社区卫生状况较差。社会工作者希望从控制式教育入手改善这一状况,最适宜的做法是( )。
A.开展公民权益知识讲座
B.为社区居民开展就业技能培训
C.分析问题原因并找出解决办法
D.在社区宣传栏张贴社区卫生公约
57.2012年2月,国务院发布新修订的《环境空气质量标准》增加了细颗粒物监测指标。社会公众对其具体含义以及有效预防知识知之甚少,为此医务社会工作者通过展板和单张的形式在社区中开展相关的教育工作。社会工作者运用了公共卫生社会工作的( )方法。
A.健康宣传
B.慢性病管理
C.健康管理
D.传染病预防
58.医务社会工作者在参与处理医患关系纠纷时,扮演的角色是( )。
A.倡导者
B.调解者
C.服务者
D.支持者
59.张大爷被诊断为癌症晚期,最近病情恶化。一周来,张大爷总抱怨老伴做的饭菜不好吃,还生气地把食物扔到地上。大爷十分担心自己的病情,夜不能寐,总说“我还有很多事情要做,我不能死”。对此情形,社会工作者最宜采用的做法是( )。
A.建议家人给张大爷服用镇静类药物
B.建议家人让张大爷尽早进重症监护室
C.开展家庭治疗,改善张大爷的家庭关系
D.协助家人了解张大爷的想法,实现其未了心愿
60.脑瘫患者小王的父母年事已高,在照顾小王的过程中感到力不从心,向社会工作者小李求助。小李的下列做法中,能够直接缓解小王父母照顾压力的是( )。
A.联系社区照顾机构协助照顾小王
B.联系治疗师对小王父母进行家庭治疗
C.向小王父母提供正确照顾小王的方法
D.邀请小王父母参加脑瘫患者家庭支持小组
推荐:2013年社会工作者考试成绩查询专题 2014年社会工作者职业水平考试辅导招生简章
环球网校友情提示:如果您在此过程中遇到任何疑问,请登录环球网校社会工作者频道或论坛,或加环球网校社会工作者考试QQ群:247521213,我们随时与广大考生朋友们一起交流!
最新资讯
- 社会工作者中级考试真题2026年备考指南:历年真题解析与高效复习策略2026-04-14
- 中级社会工作者历年真题免费下载|近五年各科目真题解析汇总2026-04-01
- 2026年社会工作者报名时间及备考:2020-2025历年真题答案汇总免费下载2026-03-15
- 社会工作者考试历年真题:高效备考的核心资料与复习策略2026-02-28
- 2026年社会工作者考试题库及答案:各级别历年真题及模拟试题(附各级别科目及题型详解)2026-01-13
- 2026年社工备考必备:初、中级社会工作者考试真题及答案解析汇总(2020年-2025年)2025-12-05
- 中级社工考试题库:历年真题回顾(含2025年全科真题)2025-06-08
- 社工考试题库:中级社会工作者2025年考试真题及答案解析(3科目全)2025-06-05
- 2025年社会工作者真题及答案-估分专用(中级综合能力)2025-05-29
- 考后估分必备!2025中级社工法规真题解析【完整版】2025-05-28