2013年初级社会工作者考试《实务》真题
2013年初级社会工作者考试《实务》真题
1、社会工作者小李在社区活动中结识了学习遇到困难的学生小强,经过面对面的沟通之后,小强主动来到社会工作站向小李求助。这个过程称为社会工作的( )。
A.接案
B.接触
C.筛选
D.走访
2、蒋女士在出差时遭遇车祸。住院期间,她不断地向病友哭诉车祸发生过程。病友建议她寻求社会工作者小王的帮助,她表示同意。第二天,小王与蒋女士进行了第一次会谈。
蒋女士属于( )型的服务对象。
A.转介
B.外展
C.非自愿
D.自愿
3、收集服务对象的相关资料,认定服务对象的问题,得出有关服务对象问题的暂时性结构。
这个过程称为社会工作的( )。
A.预估
B.问题界定
C.接案
D.问题分析
4、秦老师是某中学的班主任,最近时常有任课老师向他反映小刚上课“捣乱”.秦老师找到学校社会工作者小李,希望小李能够协助他找出小刚“捣乱’’的原因。案例中,小刚是( )的服务对象。
A.秦老师
B.任课老师
C.小李
D.小刚的父母
5、社会工作者在接案过程中可以通过向服务对象直接询问的方式来收集资料。
下列属于直接询问的方式是( )。
A.问卷
B.观察
C.咨询
D.角色扮演
6、小强是小学三年级的学生,半年前跟随打工的父母来到城市就读,小强虽然很努力,但因为基础薄弱,加上父母不知道自私指导其学习,考试常常不及格。针对小强目前的状况,社会工作者可以采取的间接介入策略是( )。
A.定期上门辅导小强
B.加强小强与同学的学习交流
C.改进小强与父母的沟通方式
D.提高父母指导小强学习的能力
7、由于人际沟通技巧不足,某企业一些员工常遭到客户投诉。为提升员工沟通技巧,企业社会工作者打算运用发展取向的小组工作模式开展工作。为评估小组工作成果,社会工作者采取的基线测量做法是( )。
A.测量员工参加小组后顾客投诉情况
B.测量小组过程中员工沟通情况
C.测量员工参加小组前后顾客投诉情况
D.测量员工参加小组后沟通情况
8、多了帮助一些好动的学生改变上课经常“开小差”的习惯,社会工作者所用的合理目标是( )。
A.减少服务对象“开小差”的次数
B.改变服务对象不良的行为习惯
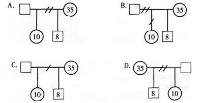
C.培养服务对象良好的听课习惯
D.延长服务对象上课集中注意力的时间
9、随着网络的普及.社会工作者小王发现小学生社会交往退缩现象日益增多。他希望对自己所服务的学习进行评估,识别社会交往退缩问题严重的学习,以便开展有针对性的服务。
小王应采用的评估量表为( )。
A.格塞尔发展顺序量表
B.儿童社会期望量表
C.阿亨巴赫儿童行为量表
D.儿童自我意识量表
10、某地自实孤残儿童家庭寄养办法以来,接收了100多名孤残儿童。为了提升孤残儿童的生活质量,社会工作者开展了一系列服务活动,其中属于宏观层面的选项是( )。
A.走访寄养家庭,了解寄养家庭的实际困难
B.开展调研,撰写服务,向政府提交政策建议
C.开办支持小组,提升孤残儿童的自我效能感
D.进行资源链接,为寄养儿童找到“一对一”的资助
编辑推荐:
环球网校友情提示:如果您在此过程中遇到任何疑问,请登录环球网校社会工作者频道或论坛,我们随时与广大考生朋友们一起交流!
11、某社会福利机构收养了50名儿童,采用“大孩子帮助小孩子”的管理方式,但在实施过程中却出现了大孩子欺负小孩子的情况。社会工作者计划采取小组工作方法对此问题进行干预。
下列说法中,最合适的是( )。
A.鼓励大孩子给小孩子补习功课
B.将大孩子和小孩子分开组织活动
C.鼓励小孩子联合起来向福利机构负责人反映
D.结合大小孩子的共同兴趣让他们一起组织活动
12、小月今年13岁,父母离异后与母亲一起生活。最近,她结交了一些不良少年,开始经常夜晚外出,有时彻夜不归。妈妈很担心小月,希望她能好好学习。母女俩经常发生争执,关系非常紧张。在评估了小月母女的需求后,社会工作者决定采取亲职教育的方式开展服务。
下列服务中属于亲职教育的是( )。
A.为小月提供沟通技巧训练
B.为小月提供课业辅导
C.让小月改变夜不归宿的行为
D.为小月母亲提供沟通技巧训练
13、某地幼儿园出现了教师虐待儿童事件。社会工作者进行紧急介入。首先应做的是( )。
A.协助警察逮捕施虐教师
B.运用量表评估儿童受伤害程度
C.保护受虐儿童的安全
D.协助受虐儿童表达他们的感受
14、社会工作者小王对有厌学倾向的小军进行个案辅导。考虑到小军平时沉默寡言。小王选择了沙盘治疗的方法。
下列操作中,正确的做法是( )。
A.按小军的指示把模具摆放到沙盘中
B.向小军母亲解释小军每个摆放行为的象征意义
C.将小军喜欢的模具玩偶作为配合治疗的奖励送给他
D.守护和陪伴在小军旁边观察记录,让小军自己和沙盘交流
15、社会工作者为某打工子弟中学的新生设立了“大哥哥大姐姐”项目,其主要内容包括帮助新生适应学校生活,并在他们学习遇到困难的时候提供课业辅导,促进新老学生的交流。
该项目属于( )青少年社会工作。
A.治疗性
B.发展性
C.预防性
D.康复性
16、小琴今年17岁,初中文化程度,性格内向,平时喜欢画漫画,但从来不敢把自己的画给别人看。在家里无论她做什么事情,父母总是说“你不行的”、“你不会的”,所以她觉得处处不如别人,非常自卑。社会工作者老王决定运用个案工作的方法提升小琴的自信心。
当看小琴画的漫画时,老王适宜的回应是( )。
A.“你画的漫画是全世界最好的”。
B.“你能和我说一说这画的意思吗?”
C.“父母说你不会画画你肯定很难过”。
D.“父母说你画得不好是他们不太懂漫画”。
17、小强父母向社会工作者反映,小强进入青春期后性格有了很大的改变,追求另类,不仅将头发染成黄色,在胸前和手臂上绘有纹身,还在学校组织了一个摇滚乐队。父母觉得小强应该将精力放在学习上,而小强认为父母观念落后,双方经常发生争执,有时小强甚至一个星期不和父母说话。
从文化角度分析,小强属于( )。
A.政治偏激青年
B.问题青年
C.文化叛逆青年
D.正直青年
18、 16岁的小红因为填报中考志愿与父母发生冲突。父母希望小红填报本市最好的中学,小红却因没有充分把握而拒绝。社会工作者了解小红的情况后,采取的恰当做法是( )。
A.建议父母尊重小红的选择
B.肯定小红拒绝的理由
C.鼓励小红自己分析拒绝的理由
D.劝说小红听从父母的要求
19、某社区的不少居民反映,他们担心孩子暑假期间无人照管,不是上网就是闲逛, 希望社区能够组织一些活动。针对社区居民的要求,社会工作者可以设计和组织的发展性青少年社会工作活动是( )。
A.网瘾戒除小组
B.课业补习小组
C.父母亲职小组
D.户外拓展小组
20、在一次青少年小组活动中,社会工作者先引导组员画出自画像,然后让组员分别介绍自已的优点和不足。通过分享,组员们增进了彼此之间的了解,加深了对自己的认识。获得了成长。
上述小组工作的效果是通过( )取得的。
A.情绪疏导
B.技能学习
C.自我探索
D.知识传授
编辑推荐:
环球网校友情提示:如果您在此过程中遇到任何疑问,请登录环球网校社会工作者频道或论坛,我们随时与广大考生朋友们一起交流!
21、小王是敬老院的社会工作者,他开展了一系列活动,以改善敬老院的照顾质量。其中,属于园艺模式的活动是( )。
A.组织老年人参加社区文艺演出
B.改善敬老院的无障碍设施
C.请营养顾问评估并改进现有食谱
D.定期为老年人进行健康检查
22、社会工作者小王计划在养老院组织捅花小组活动,加强老人的相互沟通。可是,患病多年的张奶奶一向不愿主动与人交流,无论小王怎么动员,就是不肯参加。
对此,小王采取的正确做法是( )。
A.向院长汇报,请院长说服她参加
B.给她子女打电话,请他们劝她参加
C.发动几位活跃老人,鼓励她参加
D.找张奶奶谈心,倾听并尊重其决定
23、社会工作者需要能够辨别与老年人自杀有关的风险因素。在下列与老年人自杀相关的线索中,风险最高的是( )。
A.超剂量购买并藏匿安眠药
B.对人说“有时我真想结束一切”
C.整理行装.准备拜访故旧
D.和老伴讲“我死了你会好过些”
24、某地根据当地妇女儿童发展现状,制定了《禁止拐卖妇女儿童行动计划》。这一举措旨在回应妇女的( )需要。
A.生殖健康
B.权益保障
C.特殊保护
D.性别公正
25、著名学者摩塞把妇女的需求分为实用性社会性别需求和战略性社会性别需求。在当今中国社会,属于妇女战略性社会性别需求的是( )需求。
A.基本生活
B.就业
C.生殖健康
D.参政
26、建筑业是以男性为主的行业,存在女性被边缘化的现象。某社会工作服务机构计划为建筑工地的女性提供服务。社会工作者在运用赋权理论制定服务目标的过程中,正确的做法是( )。
A.与有关老师共同制定目标
B.与男性员工共同制定目标
C.与女性员工共同制定目标
D.与建筑公司管理层共同制定目标
27、小王是进城务工人员,前不久在建筑工地工作时,从脚手架上摔下受伤。小王出院后,身体落下残疾,于是向建筑公司索赔,建筑公司以无法确定赔偿金额为由予以拒绝。小王向社会工作者小李求助,小李首先要做的是( )。
A.协助小王到法院起诉建筑公司
B.协助小王申请工伤认定
C.联系专业人士为小王制定康复计划
D.与小王一起到建筑公司谈判
28、某社会工作服务机构多年来一直推行智障人士社区化服务模式,践行社会康复理念,为此开展了大量工作。
下列措施中属于社会康复的是( )。
A.为智障人士制定职业发展规划
B.为智障人士制定康复训练计划
C.让轻度智障的儿童进入普通学校随班就读
D.运用个案工作手法缓解智障人士心理压力
29、某社会工作服务机构面向社区居民开展了一系列活动,带领不同年龄段的居民体验失明、失聪、肢残等多种失能感受。
在改善残疾人社会环境方面,这类活动产生的直接作用是( )。
A.推动社区无障碍环境建设
B.促进社区居民与残疾人的互动
C.推进社区特殊教育的发展
D.增进社区居民对残疾人的理解
30、服刑人员小王的父母目前居住在一所狭小的房子里,靠微薄的退休金生活。小王服刑多年即将刑满释放,对外界不甚了解,对释放后的生活没有信心。社会工作者与小王一起商议其释放后的生活计划,其中最符合小王再社会化需求的是( )。
A.鼓励小王每天坚持运动
B.帮助小王找到合适住房
C.协助小王申请最低生活保障
D.帮助小王拓展人际交往
编辑推荐:
环球网校友情提示:如果您在此过程中遇到任何疑问,请登录环球网校社会工作者频道或论坛,我们随时与广大考生朋友们一起交流!
31、社会工作者运用理性情绪治疗模式开展小组工作,以回应社区服刑人员不服判决的问题。
在小组活动中,社会工作者正确运用非理性信念检查技巧的做法是( )。
A.对有进步的组员进行奖励
B.让组员扮演特定的角色
C.让组员大声朗读相关规定
D.让组员模仿别人受到奖励的行为
32、张大爷是位一级伤残的优抚对象,近日,老伴因心脏病突发离世。护理员反映,张大爷已两天没吃饭了,身体非常虚弱。社会工作者小王立即联系优抚医院的医生为张大爷检查身体,并一直陪伴在其身边,安抚他的情绪。
此案例中,小王采取了( )方法。
A.环境干预
B.认知干预
C.行为干预
D.危机干预
33、部分优抚安置对象在由军人到老百姓的角色转换过程中,常会产生一些负面情绪。社会工作者运用理性情绪疗法协助这些服务对象适应角色转变。
在此过程中,社会工作者扮演的主要角色是( )。
A.管理者
B.教育者
C.倡导者
D.协调者
34、大军退伍半年多了.一直没有找到合适的工作。上幼儿园的儿子每月需不菲的开销,近日,母亲又生病住院花费不少,这些都让大军倍感压力,情绪低落。社会工作者多次与大军沟通,了解其需要,并为其申请了短期临时救助,以解燃眉之急。
此案例中,社会工作者发挥的作用是( )。
A.减缓压力
B.鼓励赞许
C.控制情绪
D.激发动机
35、老张在服役期间多次立功受奖。如今他居住在光荣院,尽管衣食无忧,却觉得生活越来越没有意义。老张常常独自躲在屋子里,靠整理战友照片和摆弄勋章打发时光。每当想起为保护自己而牺牲的战友,以及未见到最后一面就去世的老母亲,他就心生愧疚。社会工作者在运用人生回顾的方法予以干预的过程中,应当重点帮助老张( )。
A.寻找当下生命的意义
B.弥补过往生活的遗憾
C.治疗痛苦经历带来的创伤
D.享受集体生活的快乐
36、流浪儿童小花被送到救助管理站并接受专业服务。救助管理站的医生为她做了详细的身体检查,发现她身上有多处新旧伤痕。但无论医生和民警怎样劝说,她始终不肯开口。
针对上述情况,救助管理站的社会工作者首先要做的是( )。
A.运用游戏引导小花打开心扉
B.与民警合作寻找小花的家人
C.运用直接影响技巧开展个案辅导
D.发放联系卡以便小花在需要时能获得帮助
37、某社会工作服务机构今年社会救助的服务主题是“社区反贫困能力建设”。下列最符合该主题的做法是( )。
A.协助救助对象成立合作社,培育社区领袖
B.联系各类服务组织,为救助对象提供更多的服务
C.帮助救助对象拓展社会交往,修复或建立各类社会关系
D.将贫困群体的生存状况、问题与需求反映给相关社会救助部门
38、未成年人保护中心为流浪儿童提供全方位的服务。
下列服务中,不属于流浪儿童救助服务的是( )。
A.物质帮助
B.品行教育
C.回归家庭
D.合法收养
39、家庭社会工作是社会工作专业的实践领域之一。下列家庭社会工作的说法。正确的是( )。
A.家庭社会工作就是家庭治疗
B.家庭社会工作与家庭治疗截然不同
C.家庭社会工作是家庭治疗的一个分支
D.家庭社会工作与家庭治疗既有联系又有区别
40、大李夫妇有一个15岁的孩子,一直以来,孩子的大小事情都由父母安排。最近一年,他们发现孩子脾气越来越坏,不服父母的管教,事事要自己做主,有时还与父亲发生激烈争吵。
从家庭生命周期的角度来看,该家庭目前最重要的任务是( )。
A.调整夫妻角色.共同教育孩子
B.调整夫妻关系。促进孩子的自立
C.调整家庭关系.满足孩子的独立要求
D.调整夫妻角色,适应不以孩子为中心的角色
编辑推荐:
环球网校友情提示:如果您在此过程中遇到任何疑问,请登录环球网校社会工作者频道或论坛,我们随时与广大考生朋友们一起交流!
41、大力夫妻带着16岁的女儿来见社会工作者,女儿出现厌食症已有半年,明显消瘦,无法上学。面谈过程中,社会工作者发现,大力因婚外情一年前开始与妻子闹离婚,很少回家。大力的妻子除了哭泣,就是在女儿面前不停地抱怨丈夫。社会工作者经过分析,认为女儿的厌食症与他们的夫妻关系有关。
根据结构式家庭治疗原理,社会工作者对该家庭干预的主要目标应是( )。
A.改善夫妻关系,帮助夫妻妥善处理婚姻问题
B.改善亲子关系.减少母亲情绪对女儿的负面影响
C.重构家庭界限,引导母亲不再让女儿涉入夫妻次系统
D.调整家庭结构.协助父母齐心协力帮助女儿走出困境
42、在倾听了一对夫妻对孩子许多不满和抱怨之后,社会工作者采用聚焦技巧将这对夫妻的注意力集中到需要解决的问题上。
下列回应中,正确的是( )。
A.“你们对孩子有许多不满.目前你们最想解决的是什么?”
B.“你们对孩子有许多不满,让我们从最让你们头痛的地方开始”。
C.“你们对孩子有许多不满,平时遇到这些情况,你们是怎么处理的?”:
D.“你们对孩子有许多不满,但一下子又无法解决。你们认为该怎么办?”
43、阿丽今年35岁,因性格不合,与丈夫离婚。目前,她一个人带着8岁的儿子在城市打工,把10岁的女儿留给了丈夫。根据上述案例介绍,社会工作者绘制的家庭结构图中正确的是( )。

44、小明是小学五年级学生。最近,父母发现小明对学习数学越来越没有兴趣.作业拖沓,有时故意把数学作业本留在学校,回家不做作业。为此,父母苦口婆心地劝说小明,甚至责骂他,但都没有什么效果。社会工作者了解了小明的家庭教育情况后,决定采用家庭行为学习的方式帮助小明。
下列做法中,正确的是( )。
A.改变小明父母教育子女的态度
B.改变小明父母之间的沟通方式
C.指导小明制订详细的数学学习计划
D.指导小明父母及时肯定小明数学学习的进步
45、小李夫妇向社会工作者抱怨上中学的儿子大大咧咧,对什么事都不上心。社会工作者听了他们的描述之后,希望运用再标签的技巧改变夫妻俩的态度。社会工作者的下列回应中,正确的是( )。
A.“每个人都有缺点,孩子也一样”。
B.“孩子有缺点,也一定有优点。他有什么优点?”
C.“如果遇到压力,孩子大大咧咧的性格有什么作用?”
D.“你们不去注意孩子的缺点,他的缺点就不会那么突出”。
46、在学校开展小组辅导时,社会工作者应遵循的原则是( )。
A.以教师为主体
B.保持小组异质性
C.以自愿和需求为本
D.强调学生个性需要
47、学校社会工作者小李运用抗逆力理论设计服务方案,将服务重点聚焦在提升学生的人际交往能力、解决问题能力和自我管理能力等方面。小李的服务方案强调抗逆力中的( )因素。
A.效能
B.内在优势
C.乐观
D.外部支持
48、在一所打工子弟学校开展服务时,社会工作者发现这所学校的一部分学生刚从农村来到城市,生活不习惯,学习基础差、压力大,导致自我评价较低。为了提升这些学生的自我认识能力,社会工作者最宜开展的服务是( )。
A.提供学业发展辅导
B.开办情绪管理小组
C.提供生涯规划辅导
D.开办自我成长小组
49、小芳原来学习成绩在班里名列前茅,但自初中以来,她每天上课无精打采,情绪低落,下课后也是独来独往,有时甚至不来上课,成绩直线下降。社会工作者初步预估后发现。一年前小芳父母离了婚,母亲外地打工,将小芳交给年迈的外婆照顾。社会工作者与班主任沟通了小芳的情况,请班主任照顾小芳的学习和生活。一段时间后。小芳的脸上又有了笑容,学习成绩也提高了。
本案例中,社会工作者运用了( )的方法增强小芳的抗逆力。
A.教授生活技能
B.提供关怀与支持
C.提出高期望
D.提供机会促进参与
50、某老旧小区失业、低保人员较多,便民设施缺乏,居民日常生活不便。社会工作者分析了社区的具体情况后,与相关政府部门取得联系,开设便民餐车和家电维修点,既改善了小区便民设施少的状况,又开发了就业岗位。
在本案例中,社会工作者采用的社区工作方法是( )。
A.地区发展
B.社会策划
C.社会行动
D.社会倡导
编辑推荐:
环球网校友情提示:如果您在此过程中遇到任何疑问,请登录环球网校社会工作者频道或论坛,我们随时与广大考生朋友们一起交流!
51、某社区在改造过程中,社会工作者促成当地政府与受此影响的居民一起商讨改造计划。居民的这种社区参与形式是( )。
A.咨询
B.协商
C.告知
D.共同行动
52、甲社区流动儿童较多,放学后回到社区无人照看,危险频出,居民反映强烈。与甲社区相邻的乙社区有一家社会工作服务机构,具有丰富的流动儿童服务经验,但没有开展服务的场地。于是,甲社区与乙社区协商并达成合作协议,由甲社区提供场地和配套经费,由乙社区的社会工作者开展社区课后辅导服务。
本案例中的资源连接方式属于( )。
A.资源共享
B.资源协调
C.资源整合
D.资源流通
53、社会工作者小王受区妇联委托.在其服务的社区开展受虐妇女的服务需求调查。受虐妇女们受到“家丑不能外扬”这一传统观念的影响,最初不愿接受小王的访谈。在小王的关心、支持和不懈努力下,受虐妇女们终于敞开心扉。讲述她们的受虐经历和应对策略。
受虐妇女们的讲述反映了她们的( )。
A.表达性的需求
B.比较性的需求
C.感觉性的需求
D.规范性的需求
54、社会工作者针对社区中空巢和独居老人较多的现象,为这些老人建立互助网络。
下列做法中,最合适的是( )。
A.建立社区老人支持小组
B.动员医生上门为老人义诊
C.动员老人的亲友经常探望老人
D.联系养老机构为老人提供上门服务
55、某古镇被国家列为重点文物保护单位。为保护古镇风貌,当地政府准备对古镇及周边地区重新规划。涉及古镇部分居民搬迁的新规划草案公布后,人们议论纷纷,很多居民因在古镇上做生意而不愿搬迁。
面对这种情况,社会工作者首先要做的工作是( )。
A.组织志愿者帮助居民完成搬迁
B.邀请邻近社区居民介绍搬迁经验
C.在政府有关部门支持下.召开居民代表恳谈会
D.人力宣传保护古镇对当地经济发展的重要意义
56、某社区地处城郊结合部,流动人口多.社区卫生状况较差。社会工作者希望从控制式教育人手改善这一状况,最适宜的做法是( )。
A.开展公民权益知识讲座
B.为社区居民开展就业技能培训
C.分析问题原因并找出解决办法
D.在社区宣传栏张贴社区卫生公约
57、 2012年2月,国务院发布新修订的《环境空气质量标准》增加了细颗粒物监测指标。社会公众对其具体含义以及有效预防知识知之甚少.为此医务社会工作者通过展板和单张的形式在社区中开展相关的教育工作。
社会工作者运用了公共卫生社会工作的( )方法。
A.健康宣传
B.慢性病管理
C.健康管理
D.传染病预防
58、医务社会工作者在参与处理医患关系纠纷时,扮演的角色是( )。
A.倡导者
B.调解者
C.服务者
D.支持者
59、张大爷被诊断为癌症晚期,最近病情恶化。一周来,张大爷总抱怨老伴做的饭菜不好吃,还生气地把食物扔到地上。大爷十分担心自己的病情,夜不能寐,总说“我还有很多事情要做,我不能死”。
对此情形,社会工作者最宜采用的做法是( )。
A.建议家人给张大爷服用镇静类药物
B.建议家人让张大爷尽早进重症监护室
C.开展家庭治疗.改善张大爷的家庭关系
D.协助家人了解张大爷的想法.实现其未了心愿
60、脑瘫患者小王的父母年事已高,在照顾小王的过程中感到力不从心,向社会工作者小李求助。小李的下列做法中,能够直接缓解小王父母照顾压力的是( )。
A.联系社区照顾机构协助照顾小王
B.联系治疗师对小王父母进行家庭治疗
C.向小王父母提供正确照顾小王的方法
D.邀请小王父母参加脑瘫患者家庭支持小组
编辑推荐:
环球网校友情提示:如果您在此过程中遇到任何疑问,请登录环球网校社会工作者频道或论坛,我们随时与广大考生朋友们一起交流!
61、当支持性小组中的组员彼此已建立起信任,开始互帮互助时,社会工作者告知组员,小组即将结束。此时,有些组员表示还有很多话没来得及说;有些组员又开始变得沉默,不再参与小组讨论;有些组员很生气,指责社会工者推卸责任;还有些组员表示小组不应该结束,还有问题需要社会工作者解决。
分析上述情形,该小组成员在结案期出现的反应有( )。
A.否认
B.倒退
C.依赖
D.欣喜
E.讨价还价
62、小强因为与父母发生争吵,主动打电话寻求社会工作者小王的帮助。小王为了与小强进行初次面谈,需要做的准备工作包括( )。
A.向小强父母了解小强的情况
B.向小强解释机构的服务要求和范围
C.了解小强目前的身体和精神健康状况
D.了解小强是否有需要谨慎处理的特事项
E.了解小强以前是否接受过社会工作者的帮助
63、为满足单亲家庭孩子身心发展的需要.社会工作者充分挖搠社区资源。组织退休教师志愿服务小组,开展了一系列的活动:为学习有困难的孩子辅导功课;与青春期少年结对,做他们的人生老师;与孩子们共同设计社区公益活动,培养社会责任感;组织单亲家庭聚会,密切亲子关系。
社会工作者的介入行动体现了( )原则。
A.个别化
B.服务目标聚焦
C.经济效益优先
D.与服务对象相互信赖
E.关注服务对象的发展阶段和特点
64、去年冬天。某地居民在垃圾箱内发现5具10岁左右的男童尸体。经警察初步调查。这5名离家出走男童因在垃圾箱内生火取暖导致一氧化碳中毒死亡。对于这些儿童而言,他们未能获得满足的基本需要有( )。
A.生存的需要
B.冒险的需要
C.被保护的需要
D.游戏的需要
E.社会化的需要
65、小红的父亲脾气暴躁。经常殴打妻子,导致妻子多次住院治疗,甚至有生命危险。每当暴力事件发生时,小红只能用大哭大闹甚至自我伤害的方式来吸引父亲的注意力,以期让父亲停止殴打母亲。
在这种情况下,社会工作者采取的恰当介入方法有( )。
A.帮助小红联系寄养家庭.以保障她的安全
B.帮小红母女联系庇护所.在需要时提供庇护
C.对小红父亲进行宣传教育,预防其对小红施暴
D.对小红父母进行婚姻治疗.以期实现家庭和谐
E.把小红父亲转介到情绪控制小组,以期减少暴力行为
66、因不满父亲的管教方式,15岁的小强与父亲发生争吵后,与几位同学一起离家出走。母亲很着急,向社会工作者求助。社会工作者找到小强,询问其离家出走的原因,小强说:“我就不想回家,看见他我就生气!”社会工作者计划提供服务,以改善小强与父亲的关系。
下列活动中,从个人层面介入的青少年社会工作服务包括( )。
A.帮助小强调整非理性情绪
B.指导小强改善与父亲的沟通技巧
C.为小强和同伴开设成长小组
D.协助小强父亲改善家庭教育方式
E.学校加强对小强及同伴的教育
67、社会工作者老徐十分赞同通才实务工作观。面对来自单亲家庭、性格内向、缺乏自信、不善与人交往的青少年服务对象,老徐开展了一系列服务,其中体现了应用通才实务工作观的有( )。
A.针对服务对象的家庭进行关系调整
B.通过社区工作,为服务对象建立成长支持网络
C.建议服务对象父母复婚,保证健全的家庭结构
D.为服务对象开展个案辅导,协助其改变行为方式
E.让服务对象参加小组活动.增加其人际交往机会
68、老年人面临的恶意对待包括( )。
A.身体虐待
B.经济虐待
C.疏于照顾
D.社会歧视
E.情感虐待
69、阿芬15岁,家住偏远山村,生活条件艰苦。在一次意外中,阿芬失去了右腿,给她的生活造成诸多不便。社会工作者小王得知情况后,请木匠将木椅改造成坐便器,并协调村医教会阿芬的家人用传统中医手法给她定期按摩。
小王的上述做法体现的社区康复原则有( )。
A.因地制宜
B.因陋就简
C.因势利导
D.家属参与
E.低成本、广覆盖
70、某社区管辖人口2000余人,各类残障人士占总人口近10%。为大力推进社区无障碍环境建设,社会工作者应该开展的工作有( )。
A.在社区内安置大型显示屏
B.在社区公共厕所内安装扶手
C.为社区工作人员开设手语学习班
D.为社区残障人士设立心理咨询室
E.为社区残障人士开设网络信息学习班
编辑推荐:
环球网校友情提示:如果您在此过程中遇到任何疑问,请登录环球网校社会工作者频道或论坛,我们随时与广大考生朋友们一起交流!
71、老张因盗窃被判入狱服刑,社会工作者小吴定期为其提供心理辅导。老张出狱后无住房,生活困难。社会工作者小赵协助老张申请了低保,同时积极帮老张找工作。
本案例中属于矫正社会工作服务( )。
A.司法判决前的服务
B.监禁场所中的服务
C.刑满释放后的服务
D.社区矫正的服务
E.司法判决中的服务
72、在优抚医院和光荣院中,有时会出现对服务对象的隐蔽性疏于照顾的现象。这种隐蔽性疏于照顾现象包括( )。
A.隔离服务对象
B.剥夺服务对象的选择权
C.给服务对象贴标签
D.过度照顾服务对象
E.用语言攻击服务对象
73、顾某,35岁,无固定职业,因盗窃被判有期徒刑1年,缓期执行。判决后,其妻离家出走。目前顾某与父母、儿子共同生活,父母年老多病,儿子辍学在家,家庭生活困难。面对困境,顾某焦虑急躁,家庭关系十分紧张。
经过评估,社会工作者认为顾某目前的需求包括( )。
A.基本生活保障
B.获得就业机会
C.获得教育机会
D.提供社区服务
E.改善家庭关系
74、社会工作者在社会救助政策制定、实施和评估过程中,正确的做法包括( )。
A.协调各类救助资源
B.对救助政策的不足进行修订
C.参与救助灾款发放
D.将救助理念转化为救助行动
E.灵活制订救助标准,考虑个体差异
75、某地发生重大泥石流灾害,当地赈灾机构社会工作者第一时间赶赴现场,协助当地政府开展紧急救援。
下列做法中,正确的有( )。
A.转移群众.减少伤亡
B.恢复生产经济设施
C.统筹安排,发放物资
D.为受灾群众提供心理援助
E.解决居民基本生活问题
76、在家庭社会工作中,常用的干预技巧包括( )。
A.观察
B.聚焦
C.例子使用
D.再标签
E.家庭图
77、自从有了孩子,小赵夫妇就争吵不断,妻子指责丈夫不关心孩子成长,丈夫抱怨妻子过分溺爱孩子。为了准确评估小赵夫妇的需求,社会工作者决定采用家庭处境化原则开展调查工作。
下列做法中符合该原则的有( )。
A.进行入户调查.了解小赵夫妇的日常生活安排
B.观察小赵夫妇问题的同时.也了解他们的潜能
C.观察小赵夫妇与周围环境之间的互动交流状况
D.观察小赵夫妇的日常生活安排与需求之间的关联
E.观察小赵夫妇目前需求的同时,也了解他们的长远需求
78、学校社会工作者拟开展以生涯规划为主题的小组。在该小组的设计中,应将重点聚集在( )。
A.树立终身学习意识
B.促进自我接纳
C.提升情绪识别能力
D.改善人际关系
E.注重自我管理能力培养
79、某社会工作服务机构在社区开展了为期一年的健康教育活动。活动结束后,工作者从不同角度对该活动进行了评估。
下列属于成效评估内容的有( )。
A.相关人群对该活动的满足度
B.举办健康讲座与培训的场所
C.社区居民对相关知识的知晓率
D.该活动对其他社区产生了
E.相关人群在活动中印象最深的事件
80、某城市社区居民对即将在本社区建设焚烧厂意见很大,认为垃圾焚烧会污染社会空气。因此,不少居民通过社区网上论坛表达不满情绪,有些居民还公开表示抗议,针对这种情况,该社区的社会工作者应当做的是( )。
A.要求社区论坛管理员消除网络不满言论
B.与企业协商,安置若干社区下岗人员,以缓和双方矛盾
C.请专业人士就建设垃圾焚烧厂进行专业解答,消除居民疑虑
D.与政府部门一起邀请社区居民代表共同参与制定建厂实施方案
E.开展社区宣传教育.提升社区居民通过合法渠道维护自身权益的能力
编辑推荐:
环球网校友情提示:如果您在此过程中遇到任何疑问,请登录环球网校社会工作者频道或论坛,我们随时与广大考生朋友们一起交流!
最新资讯
- 中级社会工作者历年真题免费下载|近五年各科目真题解析汇总2026-04-01
- 2026年社会工作者报名时间及备考:2020-2025历年真题答案汇总免费下载2026-03-15
- 社会工作者考试历年真题:高效备考的核心资料与复习策略2026-02-28
- 2026年社会工作者考试题库及答案:各级别历年真题及模拟试题(附各级别科目及题型详解)2026-01-13
- 2026年社工备考必备:初、中级社会工作者考试真题及答案解析汇总(2020年-2025年)2025-12-05
- 中级社工考试题库:历年真题回顾(含2025年全科真题)2025-06-08
- 社工考试题库:中级社会工作者2025年考试真题及答案解析(3科目全)2025-06-05
- 2025年社会工作者真题及答案-估分专用(中级综合能力)2025-05-29
- 考后估分必备!2025中级社工法规真题解析【完整版】2025-05-28
- 精准估分!2025中级社工法规真题解析【完整版】2025-05-28