2008年统计师《统计业务知识》真题及答案
一、单项选择题(以下每小题各有四项备选答案,其中只有一项是正确的。本题共40分,每小题1分。)
1.下列单位中属于我国常住单位的是( )。
A.我国在国外投资的企业 B.我国驻外援助机构
C.外国驻华使领馆 D.短期来我国访问、旅游的人员
2.以下关于机构单位、法人单位和产业活动单位之间关系的表述中,不正确的是( )。
A.机构单位是法人单位的一部分
B.一个机构单位可以包括一个或多个产业活动单位
C.一个产业活动单位一定隶属于一个法人单位
D.产业活动单位相当于基层单位
3.下列各项中仍未被列入现行国民经济生产统计范围的是( )。
A.有偿家政服务 B.住房服务
C.家务劳动 D.自用性货物生产
4.2006年北京市劳动者报酬为3497亿元,生产税净额为1161亿元,固定资产折旧为1251亿元,营业盈余为1961亿元,合计为7870亿元,这是根据( )计算的地区生产总值。
A.生产法 B.收入法
C.支出法 D.直接计算法
5.投入产出表中有一些基本的总量平衡关系,下列平衡关系中不正确的是( )。
A.中间投入+增加值=总投入
B.中间使用+最终使用=总产出
C.总投入=总产出
D.某部门的增加值=该部门提供的最终使用的价值
6.在收入分配统计中,下列各项属于初次分配项目的是( )。
A.所得税 B.社会保险付款
C.社会补助 D.红利
7.在国民收入分配分析指标中,国民储蓄率是指国民总储蓄与( )之比。
A.国内生产总值 B.国民总收入
C.国民可支配总收入 D.国民可支配净收入
8.基尼系数为0时,表示收入分配( )。
A.绝对不平等 B.绝对平等
C.相对不平等 D.相对平等
9.某地区某年末流通中的现金余额为3.2亿元,居民和企事业单位活期存款余额为3.5亿元,城乡居民储蓄存款余额为4.5亿元,定期存款和其他存款为5.5亿元,则该地区这一年末的狭义货币供应量 余额与广义货币供应量 余额之比为( )。
A.0.478 B.0.192
C.0.401 D.2.493
10.某市批发零售业2007年初商品库存额为58 900万元,全年商品购进总额为358 960万元,商品销售总额为385 670万元。按此计算的商品周转天数是( )。
A.43.10天 B.55.74天
C.30.46天 D.46.31天
2010年统计师考试辅导招生简章 转自环球网校edu24ol.com
11.以下对外经济往来项目中,应在国际收支平衡表贷方反映的是( )。
A.服务的进口 B.对外金融资产的减少
C.对外提供无偿援助 D.对外金融负债的减少
12.在《中国统计年鉴》中可以发现,国际收支平衡表中货物出口与货物进口的差额与海关统计中货物出口与货物进口的差额有所不同,造成这种差异的主要原因是( )。
A.在国际收支平衡表中,出口和进口都按离岸价计算;而在海关统计中,出口按离岸价计算,进口按到岸价计算
B.在国际收支平衡表中,出口和进口都按离岸价计算;而在海关统计中,出口按到岸价计算,进口按离岸价计算
C.在国际收支平衡表中,出口和进口都按到岸价计算;而在海关统计中,出口按离岸价计算,进口按到岸价计算
D.在国际收支平衡表中,出口和进口都按到岸价计算;而在海关统计中,出口按到岸价计算,进口按离岸价计算
13.下列各项中不属于固定资产的是( )。
A.住房 B.切割机床
C.役畜 D.家用洗衣机
14.以下人均总量指标中,应当用年平均人数计算的是( )。
A.人均储蓄存款余额 B.人均国民财产
C.人均纯收入 D.人均耕地面积
15.统计分析强调定量分析与定性分析相结合是基于( )。
A.质是量的基础,一定的量是质存在的必要条件
B.量是质的基础,一定的量是质存在的必要条件
C.质是量的基础,一定的质是量存在的必要条件
D.量是质的基础,一定的质是量存在的必要条件
16.据统计,2007年全国共招收普通高等教育本专科生565.92万人、研究生41.86万人。这里学生的“学历”(专科、本科、研究生)的计量尺度是( )。
A.列名水平 B.顺序水平
C.间隔水平 D.比率水平
17.通货膨胀率是调整利率水平需要参考的重要宏观经济指标之一。当通货膨胀率超过5%时央行通常会加息。央行参照的这一评价标准是( )。
A.时间评价标准 B.空间评价标准
C.经验或理论评价标准 D.计划评价标准
18.洛伦茨曲线向下弯曲得越大,表明( )。
A.基尼系数越小,收入分配越公平 B.基尼系数越大,收入分配越公平
C.基尼系数越小,收入分配越不公平 D.基尼系数越大,收入分配越不公平
19.欲对某企业的资产负债率(62%)和产品销售率(95%)进行标准化处理,两项指标的算术平均数和标准差分别为:61%、3%和96%、2%。正确的处理结果是( )。
A.(62%-61%)÷3%,(95%-96%)÷2%
B.-(62%-61%)÷3%,(95%-96%)÷2%
C.(62%-61%)÷3%,-(95%-96%)÷2%
D.-(62%-61%)÷3%,-(95%-96%)÷2%
20.主成分分析能够把多个指标简化为少数几个综合指标,并能使这些综合指标尽可能地反映原来的多个指标的信息,并保证这些综合指标彼此之间( )。
A.互不相关 B.高度相关
C.低度相关 D.中度相关
2010年统计师考试辅导招生简章 转自环球网校edu24ol.com
21.施肥量与单位面积粮食产量之间是( )。
A.函数关系 B.确定性关系
C.模糊关系 D.相关关系
22.当简单线性相关系数为0时,说明两个变量之间( )。
A.没有任何关系 B.不存在直线相关关系
C.不存在曲线相关关系 D.具有不确定的关系

25.张力撰写了一篇题为“强化征收管理,确保税收收入稳步增长”的统计分析报告。报告首先阐述了税收收入的完成情况及其特点,其次分析了影响税收收入的主要因素及税收征管中面临的突出问题,最后提出了强化征收管理,确保税收收入稳步增长几点政策建议。该报告的结构属于( )。
A.递进结构 B.并列结构
C.时序结构 D.时空结构
26.李斌撰写了一篇题为“我国钢铁业发展研究和预测”的统计分析报告,报告仅就我国钢材的销售收入进行了分析和预测。此文标题存在的问题主要是( )。
A.缺乏新意 B.不够精炼
C.标题过长 D.与内容不一致
27.计算机中最普遍采用的字符编码是( )。
A.国标码 B.二进制编码
C.ASCⅡ码 D.BCD码
28.位是计算机存储数据的最小单位,数据在计算机中均表现为二进制形式。如果需要表示1至26共26个不同的数字,最少需要( )位。
A.5 B.26
C.7 D.8
29.计算机存储系统中的主存储器存储正在运行的程序和数据,主存储器不包含( )。
A.高速缓冲存储器 B.随机存储器
C.磁带存储器 D.只读存储器
30.统计数据处理系统软件属于( )。
A.系统软件 B.应用软件
C.计算机辅助设计软件 D.通用办公软件
2010年统计师考试辅导招生简章 转自环球网校edu24ol.com
31.Windows XP中欲更改计算机名,可以进入系统菜单中的( )。
A.所有程序 B.控制面板
C.帮助和支持 D.运行
32.对于微机操作系统的升级,下面说法( )是不正确的。
A.升级的目的是修补漏洞及改进瑕疵
B.升级需要人工进行正确的初始设置
C.只要进行系统升级就能够完全防止恶意攻击
D.微机必须联在网上才能进行升级
33.下面各种描述中,错误的是( )。
A.选择中文输入法之前应使编辑窗口处于活动窗口状态
B.使用键盘时可按
C.按
D.语言指示器中列出了可选的输入法名称
34.根据计算机网络的覆盖面和距离长短,可将计算机网络分成( )两大类。
A.网际网与内部网 B.广域网和局域网
C.公共传输网与局域网 D.Internet与Intranet
35.使用拨号连接方式接入国际互联网时,( )是不需要的。
A.个人电脑 B.调制解调器
C.拨号连接帐户 D.网卡
36.Word的基本功能不包括( )。
A.输入文字以及对文字进行字体、大小、颜色等格式的设置
B.在文稿中插入表格、图形等
C.将文稿保存至硬盘或其他存储介质中
D.在双方都联网在线时可以实现实时的文字对话
37.Windows Word中,要对某段文字进行修饰,正确的做法是( )。
A.选中文字,点按【格式】→【字体】
B.指向文字,点按【编辑】→【定位】
C.选中文字,点按【插入】→【文本框】
D.拖动文字,点按【格式】→【段落】
38.欲选中Excel中不相邻的区域(如B列与F列),( )的操作是正确的。
A.点击B列的第一个单元格,按住鼠标左键拖至F列
B.选中B列,松手,按住“Shift”键的同时,再选择F列
C.选中B列,松手,按住“Ctrl”键的同时,再选择F列
D.点击代表B列的坐标,再点击代表F列的坐标
39.将Excel表格作为( )插入到Word文稿中后,如果Excel中的原始数据发生了改变,Word中的数据也会发生相应改变。
A.带格式文本 B.工作表对象
C.HTML格式 D.文档对象
40.统计信息编码中的特征组合码常用于( )。
A.对线分类体系进行编码
B.对面分类体系进行编码
C.将代码分成若干层级并与分类对象的分类层级相对应
D.体现编码的适应性
2010年统计师考试辅导招生简章 转自环球网校edu24ol.com
二、多项选择题(以下每小题至少有两项正确答案,每选对一项得0.5分,全部选对得满分。多选或错选不得分。本题共30分,每小题2分。)
41.在下列服务业中,采用在核算期内所投入的成本来计算总产出的行业是( )。
A.金融业 B.教育
C.文化、体育和娱乐业 D.租赁和商业服务业
E.公共管理和社会组织
42.在以下价值指标中,一般不能通过“数量×单价”的方法计算出来的是( )。
A.总产值 B.总增加值
C.出口 D.销售额
E.贸易顺差
43.关于固定资产的含义和计算原则,以下表述中正确的是( )。
A.在生产过程中使用具有耐用性的货物
B.该货物可以在生产中连续或反复被使用
C.该货物的价值一次性转移到产品价值中
D.在计算净增值时,需要扣除固定资本消耗
E.在每一时期,按照该货物磨损状况所计算的转移价值称为折旧
44.在收入分配统计中,下列各项属于再分配项目的是( )。
A.所得税 B.土地租金
C.社会补助 D.捐赠
E.生产税净额
45.目前我国实际编制的以下价格指数中,采用单项物价指数加权算术平均法的是( )。
A.居民消费价格指数 B.固定资产投资价格指数
C.工业品出厂价格指数 D.国内生产总值物价指数
E.农产品生产价格指数
2010年统计师考试辅导招生简章 转自环球网校edu24ol.com
46.某人撰写了一篇题为“教育资源配置不合理是造成我市小升初择校热和乱收费的根本原因”的统计分析报告,此报告( )。
A.是综合分析 B.是专题分析
C.以分析目的为标题 D.以主要论点为标题
E.以主要结论为标题
47.建立统计分析指标体系应遵循的一般原则包括( )。
A.指标体系的设计要紧扣选题 B.注意指标体系的全面性和系统性
C.注意指标的敏感性与可行性 D.注意指标的一致性和方便性
E.讲求简洁有效
48.已知2007年末我国外汇储备为15 282亿美元,人民币汇率为1美元兑7.3046元人民币;2006年相应的数据为10 663亿美元和7.8073元人民币。下列说法正确的有( )。
A.外汇储备比上年末增加4619亿美元
B.外汇储备比上年末增长(15 282-10 663)/15 282=30.23%
C.外汇储备比上年末增长(15 282-10 663)/10663=43.32%
D.人民币比上年末升值1-(7.3046/7.8073)=6.44%
E.人民币比上年末升值(7.8073/7.3046)-1=6.88%

50.下列关于主成分分析的表述正确的有( )。
A.主成分分析的目的是寻找少数几个主成分代表原来的多个指标
B.所确定的几个主成分之间是高度相关的
C.所确定的几个主成分之间是互不相关的
D.使用主成分分析方法的前提是原来的多个指标之间是相关的
E.各主成分是原来指标的线性函数
2010年统计师考试辅导招生简章 转自环球网校edu24ol.com
51.计算机病毒可能通过( )等介质或渠道传播。
A.操作系统 B.应用程序
C.误操作 D.内存
E.网络
52.下列关于操作系统的描述,正确的有( )。
A.操作系统是计算机运行不可缺少的系统软件
B.操作系统能够管理和控制计算机系统软、硬件
C.各种操作系统都能够提供网络通信和网络资源共享功能
D.操作系统能够管理和控制用户的程序和数据
E.应用软件的运行与操作系统的类型无关
53.可以对Windows XP的窗口执行( )等操作。
A.最大化窗口 B.移动窗口
C.同时打开多个窗口 D.复制窗口
E.删除窗口
54.Windows XP中进行文档打印时,用户可以直接对打印队列执行( )等操作。
A.查看打印队列 B.增加打印作业
C.清除打印作业 D.调整打印顺序
E.修改打印格式
55.统计数据的编辑审核是为达到数据净化的质量要求而进行的重要工作,基本的审核方法包括( )等。
A.平衡校验法 B.复录比较校验法
C.预编辑校验法 D.逻辑校验法
E.规则校对检验法
2010年统计师考试辅导招生简章 转自环球网校edu24ol.com
三、判断题(本题共20分,每小题1分。)
56.在现行机构部门划分中,中国人民银行属于政府部门。
57.当期生产的被用于最终消费、固定资本形成和出口的产品就是最终产品。
58.一般说来,住户部门的储蓄率总是小于企业部门的储蓄率。
59.在销售总额统计中,国内商品销售按实际销售价格计价,出口商品则按到岸价格计价。
60.国际上对外贸易统计有两种记录制度,我国海关统计采用的是专门贸易记录制。
61.固定资产不包括居民拥有的耐用消费品和纯军事目的的耐用品。
62.一个地区水资源总量等于该地区的地表水资源量与地下水资源量之和。
63.文盲率是指一个国家或地区16岁以上文盲人数占其全部16岁以上人口数的百分比。
64.在分析两个地区进出口贸易的结构时,可以采用柯尔莫哥洛夫-斯米尔诺夫检验或 检验,所不同的是前者要求资料的计量水平至少是顺序水平且两组数据各自独立。
65.将一组数据经过标准化处理后,其平均值为1、方差为0。
66.在回归模型中,随机误差项反映了自变量对因变量的影响。
67. ![]()
68.扩张长度是测定经济现象循环波动的重要指标,其基本含义是指从周期的谷值时刻到峰值时刻所跨越的时间长度。
69.如果要缩小置信区间,在其他条件不变的情况下,必须提高置信水平。
70.位是计算机存储数据的最小单位,但存储器的容量大小却以字节数来度量,通常使用千、兆字节表示。
71.Windows是一个多用户多任务操作系统,可以建立多个用户,提供网络通讯、图形界面、多媒体应用等各种功能,充分体现了其高效性的特点。
72.计算机中的各种程序和数据信息都是以一个或一组文件的形式存在,只有数据库除外。
73.同一个字符的全角和半角方式,其显示外形虽然相似,但其内码并不相同。
74.网络邻居是网络中最常见的网络资源共享方式。无论网络类型如何,网络中的机器都可以把自己的硬盘以及存在它们之上的文件夹共享给网络中的其他机器使用。
75.统计系统的数据多采用关系型数据库的形式组织存储。在设计关系型数据库时,必须针对具体应用进行全面深入的考虑,以使其适应需要。
2010年统计师考试辅导招生简章 转自环球网校edu24ol.com
四、综合应用题(以下每道综合应用题包括5道小题,每道小题有一项或一项以上的正确答案,每选对其中的一项得0.5分,全部选对得满分。多选或错选不得分。本题共30分,每小题2分。)
(一)我国2002年三次产业投入产出简表如下:
单位:亿元

请根据以上资料进行计算和分析判断,在下面备选中选出正确答案。
76.根据2002年我国投入产出简表,2002年我国按收入法计算的现价GDP为( )亿元。
A.121 859 B.121 254
C.148 199 D.120 651
77.根据2002年我国投入产出简表,2002年我国按支出法计算的现价GDP为( )亿元。
A.121 859 B.121 254C.148 199 D.120 651
78.根据2002年我国投入产出简表,直接消耗系数矩阵为( )。

2010年统计师考试辅导招生简章 转自环球网校edu24ol.com
(二)下表是已公布的2006年我国国际收支平衡表简表,请根据此表在下列备选答案中选出正确答案(2006年1美元对人民币的中间价为7.9718)
2006年中国国际收支平衡表 单位:亿美元

81.已知我国2006年国内生产总值为210 871.0亿元,则根据上表计算的2006年国民生产总值(或国民总收入)为( )。
A.209 933.9 B.214 135.8
C.211 808.1 D.207 606.2
82.已知我国2006年最终消费支出为110 413.2,资本形成总额为94 103.2亿元,则根据上表计算的2006年支出法国内生产总值为( )。
A.187 862.3 B.221 170.5
C.211 808.1 D.222 107.6
83.已知我国2006年国内生产总值为210 871.0亿元,则根据上表计算的2006年国民可支配收入为( )。
A.211 808.1 B.213 198.7
C.209 480.4 D.214 135.8
84.表中资本和金融项目的数据表明,2006年资本交易和利用外资的情况是( )
A.没有来自国外的资本交易收入
B.几乎没有向国外的资本交易支出
C.中国引进的外商直接投资大于中国对国外的直接投资
D.中国对外发行证券额小于中国购买国外证券额
85.2006年我国国际收支的综合收支差额为( )
A.2470.25亿美元 B.-2470.25亿美元
C.0亿美元 D.2599.03亿美元
2010年统计师考试辅导招生简章 转自环球网校edu24ol.com
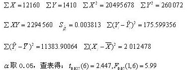
(三)某地区2000—2007年地区生产总值与税收收入资料如下表所示:
单位:亿元

根据上表资料求得:


请根据上述资料从下列备选答案中选出正确答案。(提示:考生可以根据本题给出的中间结果进行计算和分析,也可以根据Excel的输出结果直接进行分析。)
86.要研究地区生产总值与税收收入的统计依存关系,正确的分析步骤是( )。
A.定性分析地区生产总值与税收收入是否存在相互联系,如果确实存在相互联系,则通过相关分析测定两者相关的密切程度
B.通过回归分析,研究地区生产总值与税收收入之间具体的数量关系形式
C.通过统计检验,判断上述分析中所得到的地区生产总值与税收收入之间的关系是否具有普遍性
D.分析中地区生产总值与税收收入之间的关系是否是因果关系



2010年统计师考试辅导招生简章 转自环球网校edu24ol.com
统计工作实务试卷标准答案
(满分120分)
一、单项选择题(以下每小题各有四项备选答案,其中只有一项是正确的。本题共40分,每小题1分。)
1.B 2.A 3.C 4.B 5.D
6.D 7.C 8.B 9.C 10.A
11.B 12.A 13.D 14.C 15.A
16.B 17.C 18.D 19.B 20.A
21.D 22.B 23.C 24.D 25.A
26.D 27.C 28.A 29.C 30.B
31.B 32.C 33.B 34.B 35.D
36.D 37.A 38.C 39.B 40.B
二、多项选择题(以下每小题至少有两项正确答案,每选对一项得0.5分,全部选对得满分。多选或错选不得分。本题共30分,每小题2分。)
41.BCE 42.BE 43.ABDE 44.ACD 45.ABCE
46.BE 47.ABCE 48.ACE 49.ACE 50.ACDE
51.ABE 52.ABD 53.ABC 54.ACD 55.AD
三、判断题(本题共20分,每小题1分。)
56.× 57.× 58.√ 59.× 60.√
61.√ 62.× 63.× 64.√ 65.×
66.× 67.× 68.√ 69.× 70.√
71.× 72.× 73.√ 74.× 75.×
四、综合应用题(以下每道综合应用题包括5道小题,每道小题有一项或一项以上的正确答案,每选对其中的一项得0.5分,全部选对得满分。多选或错选不得分。本题共30分,每小题2分。)
76.A 77.B 78.A 79.C 80.D
81.C 82.B 83.D 84.BCD 85.D
86.ABCD 87.ABD 88.BC 89.AD 90.BD
2010年统计师考试辅导招生简章 转自环球网校edu24ol.com
最新资讯
- 2026年统计师备考必备:中级统计师考试真题解析与备考策略2026-01-13
- 【2026年备考必备】中级统计师历年真题及答案汇总(2020-2025)—免费下载2026-01-11
- 2025年初级统计师考试真题及答案(统计学和统计法基础知识+统计专业知识和实务)2025-10-22
- 2025年中级统计师真题及答案:10月19日上午场+下午场(2科目)2025-10-21
- 2025年初级统计师真题及答案:10月19日2科目汇总2025-10-21
- 2025年统计师真题下载:初、中级4科目2025-10-21
- 对答案!2025年中级统计师《统计基础理论及相关知识》考试真题及答案【考生回忆版】2025-10-20
- 2025年中级统计师《统计工作实务》考试真题及答案公布【考生回忆版】2025-10-20
- 速来对答案!2025年中级统计师考试真题及答案10月19日上午场+下午场2025-10-20
- 2025年中级统计师真题及答案解析更新,pdf版免费下载2025-10-20

