《统计相关知识》统计指数重点试题(六)
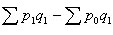
11.设p表示商品的价格,q表示商品的销售量,则公式
的意义是( )。
A.综合反映价格变动的绝对额
B.综合反映由于多种商品价格变动而增减的销售量
C.综合反映由于价格变动而使消费者增减的货币支出
D.综合反映销售额变动的绝对额
E.综合反映由于多种商品销售量变动而增减的销售额
答案:b, c
12.编制综合指数的一般原则是( )。
A.编制质量指标指数,宜采用报告期数量指标为同度因素
B.编制质量指标指数,宜采用基期数量指标为同度因素
C.编制质量指标指数,则宜采用期质量指标为同度因素
D.编制质量指标指数,则宜采用报告期质量指标为同度因素
E.同度量因素的确定与是编制质量指标指数,还是编制数量指标指数无关
答案:a, c
13.指数因素分析法的步骤包括( )。
A.确定分析的对象和影响因素
B.确定分析对象指标和影响因素指标
C.列出分析对象指标和影响因素指标关系式
D.建立分析指数体系及绝对增减量关系式
E.分析各因素变动对对象变动的影响
答案:a, b, c, d, e
14.下面关于综合指数体系与平均指标指数体系关系的说法正确的是( )
A.综合指数体系是对总指标进行因素分析的表达形式,而平均指标指数体系是对平均指标进行因素分析的表达形式
B.从分析的目的看,它们是两种不同性质的形式。
C.从运用资料和分析的结构来看,二者有一定的联系。
D.在资料中数量指标不能求和的情况下,只能选用综合指数体系,不能选用平均指标指数体系。
E.在数量指标能够求和的情况下,需要看分析目的和要求。如果要求对总指标进行因素分析,宜采用综合指数体系;如果对平均指标进行因素分析,则宜采用平均指标指数体系。
答案:a, b, c, d, e
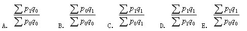
15.下列属于拉氏指数的有( )。

答案:a, b
最新资讯
- 2025年中级统计师章节练习:会计基础知识2025-05-28
- 2025年中级统计师章节习题《统计基础理论及相关知识》统计学基础知识2025-05-21
- 2025年中级统计师习题:统计法规+统计实务2025-04-27
- 2025年统计师考试知识点精讲及练习题:统计调查设计2025-03-24
- 2025年统计师章节练习题:统计法规部分2025-03-19
- 2025年统计师考试练习题:经济学基础知识2025-03-14
- 2025年中级统计师章节练习题《统计基础和相关知识》:会计基础知识2025-03-12
- 2024年统计师考前强化100题:统计学基础知识2024-10-10
- 2017-2021年中级统计实务历年真题专练:综合分析题2024-10-09
- 2024年中级统计师模拟题:《统计基础理论与相关知识》综合应用考前专练2024-10-09

