2012年证券发行与承销辅导:公司融资资料(2)
更新时间:2011-12-13 09:53:05
来源:|0
浏览
收藏
证券从业资格报名、考试、查分时间 免费短信提醒
第二节 公司融资成本
一、融资成本
1.融资成本即资本的价格。
从投资者的角度来看,融资成本是投资者因提供资本而要求得到补偿的资本报酬率;
从融资者的角度来看,融资成本是公司为获得资金所必须支付的最低价格(代价)。
2.融资成本=融资费用(手续费)+使用费用(支付的报酬)
二、个别资本成本
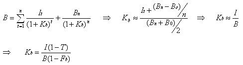
1.公司债券成本:从融资者的角度来看,债券的成本是公司为获得资金所支付的各项费用。从投资者的角度来看,债券的成本可以看作是使投资者预期未来现金流量(本金和本金收入)的现值与目前债券的市场价格相等的一个折现率:


更多信息:证券从业资格考试频道 证券从业资格考试论坛
编辑推荐
最新资讯
- 2022年证券从业金融基础知识重点2022-06-27
- 2022年证券从业资格证资料大全2022-06-22
- 2022年证券从业资格考试重点整理2022-06-21
- 2022年证券从业资格考试备考资料2022-06-01
- 2022年证券从业资格考试数字汇总2022-05-30
- 2022年证券从业考试资料大全2022-05-24
- 2022年证券从业资格考试重难点2022-05-18
- 2022年证券从业资格考试罚款整理2022-05-12
- 2022年证券从业资格考试笔记2022-05-04
- 2022年证券从业考试资料最新版2022-04-29