2010年广东省公开考试录用公务员招考公告
根据《中华人民共和国公务员法》、《公务员录用规定(试行)》和《广东省公务员录用办法(试行)》规定,按照“公开、平等、竞争、择优”的原则,中共广东省委组织部、广东省人力资源和社会保障厅决定组织2010年全省各级机关考试录用主任科员以下非领导职务公务员(含参照公务员法管理单位工作人员,下同)。现将有关事项公告如下:
一、招考对象
招考对象为全日制普通高等院校应届毕业生和具有国家承认的大专以上学历的社会人员。非广东常住户口(生源)报考者限全日制普通高等院校大学本科以上学历并取得学士以上学位的人员。应届毕业生指2010年毕业的全日制普通高等院校毕业生(含2008年、2009年办理暂缓就业手续且未就业的毕业生);社会人员指除应届毕业生外,取得国家承认学历的人员。对于学制为2年半或提前修满学分,于2009年底或2010年初毕业的普通高等院校毕业生,视为应届毕业生(已在国有单位工作的,需征得工作单位同意方可报考);港澳学习、国外留学归来人员报考公务员,报名时毕业未满1年的,视为应届毕业生,已满1年的视为社会人员。
应届毕业生和社会人员按招考对象类别对应报考。国有单位正式员工报考须征得工作单位同意,并出具书面证明。港澳学习、国外留学归来人员报考公务员,须取得教育部中国留学服务中心境外学历、学位认证书,并有我驻外使领馆开具的证明材料。服务期满、考核合格的从事支教、支农、支医和扶贫(以下简称“三支一扶”)工作的大学生,报考有年龄限制的公务员职位,年龄可放宽2岁,但不得超过35周岁。
二、报考条件
(一)具有中华人民共和国国籍,拥护中华人民共和国宪法;
(二)遵纪守法,具有良好的品行;
(三)年龄18至35周岁(1974年3月31日至1992年3月31日期间出生);
(四)具有大专以上文化程度(个别特殊职位放宽到高中);
(五)具有正常履行职责的身体条件和工作能力;
(六)具有招录职位所要求的其他资格条件。
招考职位明确要求“有2年以上基层工作经历”的,报考人员必须具备在基层和生产一线工作累计满2年的经历(时间截至2010年6月30日)。
曾因犯罪受过刑事处罚的人员和曾被开除公职的人员,在各级公务员招考中被认定有舞弊等严重违纪行为的人员,公务员或事业单位工作人员被辞退未满5年的、现役军人、在读的非应届毕业生,以及有关法律法规规定不得录用为公务员的人员,不得报名。报考人员不得报考考录后即构成回避关系的职位。
三、报名办法
(一)招考职位查询
省直机关及其直属机构(含省法院、省检察院机关和省以下垂直管理部门,下同)招考职位:见附件1。
各市招考职位:查阅各市招考公告(查询网址见附件2)。
全省各级公安机关招考人民警察职位:查阅广东人事网(http://www.gdrst.gov.cn)、广东公安网(http://www.gdga.gov.cn)。
全省各级法院、检察院招考职位分为法律业务职位和非法律业务职位,见省委组织部、省人力资源和社会保障厅、省法院、省检察院联合公布的招考简章,可查阅广东组织工作网(http://www.gdzz.cn)、广东法院网(http://www.gdcourts.gov.cn)、广东省人民检察院_阳光检务网(http://www.gd.jcy.gov.cn)。
全省选调生职位,见省委组织部、省人力资源和社会保障厅联合公布的招考简章,可查阅广东组织工作网(http://www.gdzz.cn)、广东人事网(http://www.gdrst.gov.cn)、广东省人事考试局公务员考试网(http://www.humanassess.com.cn)。
(二)报名时间及方式
省直机关及其直属机构的职位采用网上报名方式,在广东省人事考试局公务员考试网(http://www.humanassess.com.cn)上报名,报名时间为2010年3月2日9∶00至3月8日16∶00,网上缴费截止时间为3月9日16∶00。
市、县两级法院、检察院、公安机关的职位及选调生职位,均在各市报名。各市报名时间及方式请查阅各市招考公告。
(三)报名要求
报考省直机关及其直属机构招考的职位,需按照本公告要求在规定时间内登录指定网站进行报名。
报考人员须按专业参考目录(见附件3)进行报考,所学专业应符合报考职位的专业要求,学位种类不等同于报考专业。每位报考人员只可报考一个符合招考条件的职位,不能用新、旧版两个身份证号同时报名,报名与考试时使用的身份证必须一致。报名提交的报考申请材料必须真实、准确,提供虚假报考申请材料的,一经查实,即取消报考资格或录用资格。对伪造、变造有关证件、材料、信息,骗取考试资格的,按《公务员录用考试违纪违规行为处理办法(试行)》予以严肃处理。
享受国家最低生活保障金的城镇家庭、农村贫困家庭的报考者,免交报名考务和体检等费用。
四、考试
考试包括笔试和面试。
(一)笔试
笔试科目为《行政职业能力测验》、《申论》两科。未通过国家统一司法考试的人员报考各级法院、检察院法律业务职位的,加考《法律基础知识》。有关情况详见《广东省2010年考试录用公务员笔试科目考试大纲》(见附件4),所有科目均不指定考试用书。
笔试时间:2010年3月21日
上午:08∶00—09∶30 《行政职业能力测验》
10∶15—12∶15 《申论》
下午:14∶30—16∶00 《法律基础知识》
笔试成绩按《行政职业能力测验》和《申论》成绩相加计算,按四舍五入保留小数点后1位。《法律基础知识》成绩不计入笔试成绩,低于合格分数线的,不能进入面试。
由我省招募的“三支一扶”大学生,服务期满考核合格的,自服务期满之日起3年内报考我省公务员,笔试成绩加3分,同等条件下优先录用。
(二)面试
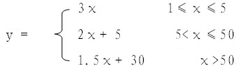
面试对象按招考职位拟录用人数分段计算,计算函数为:

其中,χ代表招考职位拟录用人数,у代表面试对象人数;计算结果(у值)小数点后按四舍五入取整数值。按照此公式计算确定具体职位进入面试的考生数量,再按笔试总成绩(即《行政职业能力测验》和《申论》成绩之和)高低顺序,在笔试合格的考生中确定面试对象。
面试对象在面试前需按公务员主管部门或招录单位规定的时间、地点进行报考资格复审。资格复审不合格的,不得参加面试,招录单位可依次递补面试对象。
报考公安机关(含森林公安)职位的考生须进行体能素质测评,体能素质测评不合格的,不能进入面试。体能素质测评由地级以上市人力资源和社会保障部门会同公安部门组织实施。
面试工作严格按《广东省公务员录用面试工作实施细则(试行)》执行,全省统一命题,统一时间进行。具体面试时间、地点等事项另行通知。
面试结束后,考试总成绩按下列公式计算:
考试总成绩=笔试成绩÷2×60%+面试成绩×40%。
笔试、考试总成绩的合格分数线由省委组织部、省人力资源和社会保障厅按规定划定。
五、体检和考察
考试结束后,按考试总成绩由高到低的顺序,等额确定参加体检人员名单。具体体检事项安排另行通知。
体检合格的考生确定为拟录用考察人选,由招录单位对其政治素质、道德品质、能力和学习工作表现,以及遵纪守法、廉洁自律等情况进行考察,并核实其是否符合报考资格条件。
六、录用
考察合格的,确定为拟录用人选名单,由公务员主管部门或招录单位通过互联网等媒体进行公示,公示时间为7天,再按规定的程序和权限报批录用。
体检不合格或体检人选放弃体检的,可依次递补体检人选。考察不合格或者放弃录用的,也可依次递补考察人选。公示中发现问题的,可依次递补。是否递补体检、考察和录用人选,由招录单位研究提出意见。
七、注意事项
(一)报考人员报名前需认真阅读本公告和报考指南(见附件5)。
(二)报考人员参加考试时,必须同时携带准考证和身份证。证件不齐者,不得参加考试。
(三)本次考试不举办、也不委托任何机构举办考试辅导培训班,也不指定任何参考用书和资料。社会上任何以公务员考试、专门培训机构等名义举办的辅导班、辅导网站或发行的出版物、参考资料、上网卡等,均与本次考试无关。
本公告及相关附件同时在广东组织工作网(http://www.gdzz.cn)、广东人事网(http://www.gdrst.gov.cn)和广东省人事考试局公务员考试网(http://www.humanassess.com.cn)上发布,由中共广东省委组织部、广东省人力资源和社会保障厅负责解释。
中共广东省委组织部
广东省人力资源和社会保障厅
2010年3月1日
附 件:
更多信息请访问:公务员频道 广东公务员考试网 公务员考试论坛 公务员博客圈
最新资讯
- 2027年国考招考公告官网何时发布?预计10月14日,附历年时间汇总及全面备考指南2026-03-10
- 国考公告2027时间何时发布?权威预测:预计10月14日!附历年考情深度分析及2026职位表参2026-03-09
- 2027年国考报名时间预计10月15日启动!公告发布时间、笔试时间预测及2026年职位表参考2026-03-09
- 国考2027报名入口一键直达!官方网址、报名时间预测与全流程操作指南2026-02-27
- 2027国考只能应届生报名吗?深度解析:往届生、社会人员报考资格与职位选择全攻略2026-02-27
- 2027国家公务员报名官网入口全解析:一键收藏!官方网址、报名流程与避坑指南2026-02-27
- 2027国考报名网站入口全攻略:官方网址、报名流程与常见问题一站式解答2026-02-27
- 2027年国考报名时间预测出炉!10月15日启动,附完整时间线与备考全攻略2026-02-27
- 27年国考什么时候考试?权威预测:2026年11月底笔试,全年备考时间轴来了!2026-02-25
- 2027年国考缺考会影响下一次报名吗?官方答案与考生必读指南2026-02-25