云南省公务员考试行测练习:数字推理
课程推荐:2014年公务员课程7天免费学 :基础精讲 高效强化 高效押题 专项特训
个性课程:2014年公务员个性辅导:申论批改 技巧专讲 冲刺密卷 个性定制
1.
1,2,2,3,4,( )
A.4
B.5
C.6
D.7
2.
11,12,16,39,67,122,( )
A.228
B.230
C.336
D.340
3.
84,12,48,30,39,( )
A.23
B.36.5
C.34.5
D.43
4.
2,4,6,9,13,19,( )
A.28
B.29
C.30
D.31
5.
1,2,3,35,( )
A.70
B.108
C.11000
D.11024
参考解析:
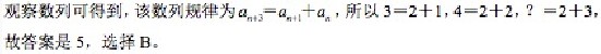
1.答案: B
解析:

2.答案: A
解析:原数列为做和递推数列。
从第四项开始,每项都等于它前面三项之和,具体规律如下:11+12+16=39,12+16+39=67,16+39+67=122,所以未知项为39+67+122=228。故正确答案为A。
3.答案: C
解析:前两项之和除以2等于第三项。(84+12)÷2=48,(12+48)÷2=30,(48+30)÷2=39,(30?39)÷2=34.5。故正确答案为C。
4.答案: A
解析:原数列为做和递推数列。
数列中相邻两项之和减去一个修正项,得到下一项,修正项呈等差数列,具体如下:2+4-0=6、4+6-1=9、6+9-2=13、9+13-3=19,则未知项为13+19-4=28,故正确答案为A。
5.答案: D
解析:

复习指导: 公务员考试真题下载 公务员考试复习资料 公务员面试辅导
编辑推荐:
最新资讯
- 2026公务员国考模拟卷《行测&申论》免费领!冲刺必备资料一键获取2025-11-17
- 2026国考模拟题行测+申论免费领!考前冲刺必备资料一键下载2025-11-17
- 2026国考行测考前冲刺:100题答案及解析免费领,助你一举成“公”2025-11-17
- 2026国考行测考前模拟100题:精准冲刺,决胜公考之路2025-11-17
- 2026国考申论冲刺必备:考前模拟题汇总2025-11-14
- 2026国考申论考前备考:模拟题免费下载2025-11-11
- 2026年行测国考模拟题下载指南:高效备考的必备资源2025-09-11
- 2025年国家公务员行测时政模拟题汇总(三 )免费下载2024-10-12
- 2025年国家公务员行测时政模拟题汇总(二 )2024-10-11
- 2025年国家公务员行测时政模拟题汇总(一 )2024-10-11