2007年中药学专业知识一考试真题全套
中药学部分 $lesson$
一、最佳选择题,共24题,每题1分。每题的备选答案帜有一个最佳答案。
1.首次全面系统整理、补充《神农本草经》的本草著作是
A.《本草纲目》 B.《新修本草》
C.《本草纲目拾遗》 D.《本草经集注》
E.《经史证类备急本草》
2.具有升浮与沉降二向性的药是
A.蔓荆子
B.天花粉
C.马齿苋
D.胖大海
E.鹤草芽
3.细辛除祛风散寒外,又能
A.燥湿止带
B.利水消肿
C.温肺化饮
D.消肿排脓
E.升阳止泻
4.既走表发汗,又走里温经的药是
A.麻黄
B.炮姜
C.桂枝
D.艾叶
E.香薷
5.芦根不具有的功效是
A.利尿
B.排脓
C.除烦止呕
D.凉血止血
E.清热生津
6.知母的主治病证不包括
A.燥咳劳嗽
B.阴虚潮热
C.目赤肿痛
D.内热消渴
E.壮热烦渴
7.苦参除清热燥湿外,又能
A.祛风杀虫
B.消痈排脓
C.散结解毒
D.清泻肺热
E.凉血消肿
8.既退虚热,又凉血、解暑的药是
A.白薇
B.青蒿
C.地骨皮
D.牡丹皮
E.银柴胡
9.既祛风湿、舒筋络,又清虚热的药是
A.木瓜
B.秦艽
C.独活
D.防己
E.防风

二、配伍选择题,共48题,每题0.5分。备选答案在前,试题在后。每组若干题。
每组题均对应同一组备选答案,每题只有一个正确答案。每个备选答案可重复选
用,也可不选用。
[25-26]
A.清泄 B.软坚
C.渗利 D.和中
E.活血
25.苦味的作用是
26.甘味的作用是
[27-28]
A. 黄芪配茯苓
B. 石膏配知母
C. 生姜配半夏
D. 人参牌菜菔子
E.乌头配川贝母
27.属于相使配伍关系的药组是
28.属于相反配伍关系的药组是
[29-31]
A. 疏肝
B. 止痉
C. 升阳
D. 解毒
E.清肺
29.蝉蜕除疏散风热外,又能
30.薄荷除疏散风热外,又能
31.桑叶除疏散风热外,又能
[32-35]
A. 凉血,养阴
B. 凉血,截疟
C.凉血,止痢
D.凉血,透疹
E.凉血,清肝
32.紫草的功效是
33.玄参的功效是
34.青黛的功效是
35.生地黄的功效是
[36-37]
A. 润肠通便
B. 利水消肿
C. 养心安神
D. 止咳平喘
E.补肾助阳
36.火麻仁的功效是
37.酸枣仁的功效是
[38-39]
A.清热解毒
C.杀虫解毒
E.补肺止咳
38.丝瓜络除祛风通络外,又能
39.孺莶草除祛风通络外,又能
[40-41]
A. 清心除烦
B. 祛风止痒
C. 破血通经
D. 清肝明目
E.清热排脓
40.瞿麦的功效是
41.灯心草的功效是
[42-44]
A. 寒湿脚气
B. 亡阳欲脱
C. 气血亏虚
D. 阳虚外感
E.虫积腹痛
42.吴茱萸的主治病证是
43.肉桂的主治病证是
44.花椒的主治病证是
[45-47]
A. 开郁醒脾
B. 燥湿化痰
C. 破气消积
D. 降气止呃
E.调经止痛
45.柿蒂的功效是
46.甘松的功效是
47.化橘红的功效是
[48-51]
A. 散瘀消痈
B. 活血定痛
C. 清热生津
D. 祛痰止咳
E.解毒敛疮
48.大蓟的功效是
49.小蓟的功效是
50.地榆的功效是
51.白茅根的功效是
[52-531
A. 行气
B. 消积
C. 清心
D. 生肌
E.安神
52.姜黄除破血外,又能
53.延胡索除活血外,又能
[54-57]
A. 消痞散结
B. 祛风止痉
C. 理气调中
D. 除烦止呕
E.润肺止咳
54.半夏的功效是
55.陈皮的功效是
56.天南星的功效是
57.白附子的功效是
[58-60]
A. 定1惊安神
B. 宁心安神
C. 解郁安神
D. 补气安神
E.养心安神
58.琥珀的功效是
59.夜交藤的功效是
60.合欢皮的功效是
[61-62]
A. 补气,生津
B. 补气,活血
C. 补气,固表
D. 补气,利尿
E. 补气,养血
61.西洋参的功效是
62.太子参的功效是
[63-66]
A. 海马
B. 鹿茸
C. 淫羊藿
D. 补骨脂
E.肉苁蓉
63.能补肾助阳、润肠通便的药是
64.能补肾助阳、活血散结的药是
65.能补肾壮阳、祛风除湿的药是
66.能补肾壮阳、温脾止泻的药是
[67-69]
A. 滋阴除热
B. 补脾益气
C. 凉血止血
D. 清心安神
E.清肝明目
67.黄精除滋阴润肺外,又能
68.石斛除养胃生津外,又能
69.百合除润肺止咳外,又能
[70-72J
A. 敛肺涩肠
B. 益肾固精
C. 温中行气
D. 敛疮生肌
E.清热燥湿
70.诃子的功效是
71.覆盆子的功效是
72.罂粟壳的功效是
三、多选题,共12题,每题1分。每题的备选答案中有2个或2个以上正确答案。
少选或多选均不得分。
73.药性理论的内容主要有
A.四气五昧 B.升降浮沉
C.有毒无毒 D.用药禁忌
E.煎煮方法
74.影响有毒无毒的因素有
A.品种来源 B.采集时间
C.炮制加工 D.给药途径
E.制剂工艺
75.治肺痈的药有
A.红藤 B.穿心莲
C.败酱草 D.鱼腥草
E.紫花地丁
76.治寒积便秘,常与大黄配伍的药有
A.芦荟
B.秦皮
A. 巴豆
B. 芒硝
E.干姜
77.薤白配瓜萎的功效有
A,疏肝理气
B.化痰散结
C.温肾纳气
D.宽胸通阳
E.行气消胀
78.依据药物的性能,一般将止血药分为
A.补虚止血药
B.温经止血药
C.凉血止血药
D.化瘀止血药
E.收敛止血药
79.益母草的药理作用有
A.降血压
B.兴奋子宫
C.抑制真菌
D.抗血小板聚集
E.增加冠脉流量
80.海蛤壳的功效有
A.‘清热化痰
B.制酸止痛
C.平肝镇惊
D.软坚散结
E.利尿消肿
81.牡蛎的主治病证有
A.阴虚动风
B.瘰疬痰核
C.自汗盗汗
D.胃痛泛酸
E.血热吐衄
82.续断的性能特点有
A.一补而不滞
B、苦辛行散
C.甘温能补
D.补中有行
E.兼能涩敛
83.乌梅的功效有
A.敛肺
B.涩肠
C.生津
D.安蛔
E.补血
84.轻粉的使用注意事项有
A.孕妇忌服
B.忌入胶囊服
C.服后须漱口
D.不可长久涂敷
E.肝肾功能不全者忌服
中药药剂学部分
一、最佳选择题,共16题,每题1分。每题的备选答案中其有一个最佳答案。
85.最早提出并强调应根据药物性质选择剂型的中医药著作为
A.《新修本草》 B.《本草经集注》
C.《伤寒论》 D.《神农本草经》
E.《黄帝内经》
86.适用于空气和表面灭菌的方法是
A,印Co-辐射灭菌法
B.微波灭菌法
C.紫外线灭菌法
D.流通蒸汽灭菌法
E.环氧乙烷气体灭菌法
87.关于粉体性质对制剂影响的叙述,错误的是
A.孔隙率小的粉粒压片时易产生松片或裂片
B.堆密度差异较大的粉体不易均匀混合
C.增加粉体的流动性可减小制剂的重(装)量差异
D.全浸膏片中浸膏粉的孔隙率较小,制片时一般需加用崩解剂
E.难溶性药物微粉化可因增加其表面积而增加其溶出速率
88.适用于液态物料瞬间直接干燥的方法为
A.冷冻干燥
B.减压干燥
C.微波干燥
D.沸腾干燥
E.喷雾干燥
89.小建中合剂中桂枝的提取方法是
A.双提法
B.醇提法
C.浸渍法
D.渗漉法
E.煎煮法
90.注射用乳剂可选用的乳化剂为
A.司盘80
B.月桂醇硫酸钠
C.洁尔灭
D.卵磷脂
E.十二烷基苯磺酸钠
91.不宜用2005年版《中国药典》规定的热原检查法检查的静脉给药制剂是
A.中药注射液 B.中药注射用无菌粉末
C.注射用乳剂 D.生物制品
E.肿瘤抑制剂
92.关于外用膏剂的基质对药物透皮吸收影响的叙述,错误的是
A.基质的组成与皮脂分泌物相似时,有利于某些药物的透皮吸收
B.聚乙二醇基质软膏中的药物释放较快且较易透皮吸收
C.油脂性基质可增加皮肤的水合作用而提高药物的渗透性
D.基质的pH小于弱酸性药物的pKa时可增加药物的吸收
E.基质的pH大于弱碱性药物的pKa时可增加药物的吸收
93.除另有规定外,溶散时限为2小时的丸剂为
A.大蜜丸
B.小蜜丸
C.水丸 D.滴丸
E.浓缩丸
94.关于颗粒剂粒度要求的叙述,正确的是
A.不能通过一号筛和能通过四号筛的颗粒和粉末总和,不得超过15%
B.不能通过一号筛和能通过四号筛的颗粒和粉末总和,不得超过10%
C.不能通过一号筛和能通过五号筛的颗粒和粉末总和,不得超过10%
D;不能通过一号筛和能通过五号筛的颗粒和粉末总和,不得超过15%
E.不能通过一号筛和能通过六号筛的颗粒和粉末总和,不得超过10%
95.制备溶液片应选用的润滑剂为
A.硬脂酸 B.滑石粉
C.硬脂酸镁 D.微粉硅胶
E.聚乙二醇4000
96.关于减小或防止中药固体制剂吸湿的措施,错误的是
A.减少中药干浸膏中黏液质等水溶性杂质
B.采用防湿包衣
C.采用防湿包装
D.将环境相对湿度控制在CRH以上
E.加入适宜辅料或制成颗粒以减小表面积
中药学专业知识(一)试卷第12页(共17页)
97.含芳香挥发性成分的中药饮片,干燥温度不宜超过
A.90℃ B.80℃
C.70℃ D.60℃
E.50℃
98.对表证较轻,咳嗽气喘较重的患者应首选
A.生麻黄 B.蜜炙麻黄
C.麻黄绒 D.蜜炙麻黄绒
E.去节麻黄
99.用明煅法炮制的药物是
A.白矾
B.炉甘石
C.赭石
D.血余炭
E.自然铜
100.藤黄常采用的炮制方法是
A.甘草水煮
B.水煮
C.酒蒸
D.豆腐煮
E.姜汤煮
二、配伍选择题,共32题,每题0.5分。备选答案在前,试题在后。每组若干题。
每组题均对应同一组备选答案,每题只有一个正确答案。每个备选答案可重复选
用,也可不选用。
[101-102]
A. Fo值 B.F值
C.Z值 D.D值
E.IgNt
101.将灭菌过程中不同受热温度与时间折算到与121℃热压灭菌效力相当的时间的
参数是
102.相当于121℃热压灭菌时,杀灭物品中全部微生物所需时间的参数是
[103-105]
A.减压浓缩 B.多效浓缩
C.常压浓缩 D.降膜式薄膜浓缩
E.离心式薄膜浓缩
103.在1个大气压下进行,适用于对热较稳定的药液的浓缩方法是
104.设备由2个或2个以上蒸发器串联而成的低能耗浓缩方法是
105.蒸发汽化表面大,适用于浓度较高、黏度较大的药液的浓缩方法是
[106-107]
A.中粉B.细粉
C.最细粉D.极细粉
E.超细粉
106.除另有规定外,儿科用散剂应为
107.除另有规定外,眼用散剂应为
[l08-l09]
A.乳化剂B.助溶剂
C.润湿剂D。助悬剂
E.絮凝剂
108.聚山梨酯80在混悬液型液体药剂中常作为
109.阿拉伯胶浆在混悬液型液体药剂中可作为
[110-113]
A.90%
B.85%
C.70%
D.25%
E.20%
110.以净药材提取物制备中药注射剂,要求所测成分在总固体物中的含量至少为
111.以有效部位制备中药静脉注射剂,要求所测有效部位在总固体物中的含量至少为
112.以有效成分制备中药注射剂,有效成分的纯度应达到
113.以净药材提取物制备中药静脉注射剂,要求所测成分在总固体物中的含量至少为
[114-116]
A.乳化剂B.增溶剂
C.防腐剂D.辅助乳化剂
E.抗氧剂
114.硬脂酸胺皂在软膏基质中可作为
115.单硬脂酸甘油酯在软膏基质中可作为
116.倍半油酸山梨醇酯在软膏基质中可作为
[117-1191
A. 嫩蜜,热蜜和药
B. 中蜜,温蜜和药
C. 老蜜,热蜜和药
D. 老蜜,温蜜和药
E.中蜜,热蜜和药
117.药粉黏性中等且含有冰片的处方制丸宜用
118.含有大量纤维性药材的处方制丸宜用
119.含有大量矿物药的处方制丸宜用
[120-123]
A. 融变时限
B. 崩解时限
C. 溶散时限
D. 溶化性
E.软化点
120.普通口服片应检查
121.泡腾片应检查
122.阴道片应检查
173.肠溶衣片应检查
124-12s]
A. 锭剂
B. 钉剂
C. 条剂
D. 灸剂
E.膜剂
124.既可内服也可嗅入或外擦应用的剂型为
125.既可内服又可眼用的剂型为
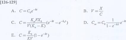
[126-129]

126.表观分布容积的计算公式是
127.单室模型单剂量静脉注射给药血药浓度与时间的关系是
128.单室模型多剂量静脉注射给药的稳态血药浓度与时间的关系是
129.单室模型单剂量血管外给药的血药浓度与时间的关系是
[130-132]
A. 苍术
B. 斑蝥
C. 白术
D. 马钱子
E.枳壳
130.炮制后能缓和燥性和酸性,增强健胃消胀作用的药物是
131.炮制后能降低毒性,矫正气味,可内服的药物是
132.炮制后能增强健脾止泻作用,多用于脾虚泄泻的药物是
三、多选题,共8题,每题1分;每题的备选答案中有2个或2个以上正确答案。少
选或多选均不得分。
133.不得添加抑菌剂的注射剂有
A.中药肌内注射液 B.静脉输液
C.硬膜外注射液 D.脑池内注射液
E.椎管内注射液
134.可用作栓剂基质的有
A.聚乙二醇6000 B:甘油明胶
C.氮酮 D.海藻酸
E.没食子酸
135.不宜制成胶囊剂的药物相
A.药物的水溶液
B.易溶性及刺激性强的药物
C.药物的稀乙醇液
D.易风化的药物
E.吸湿性药物
136.片剂包衣的种类有
A.糖衣
B.薄膜衣
C.肠溶衣
D.控释衣
E.缓释衣
137.关于吸入气雾剂中药物吸收的叙述,正确的有
A.吸入气雾剂具有速效作用
B.吸入气雾剂可直接作用于支气管平滑肌
C.口腔是吸入气雾剂的主要吸收部位
D.药物的吸收速度与其脂溶性成正比
E.药物的吸收速度与其分子大小成反比
138.属于主动靶向制剂的有
A.磁性微球
C.长循环脂质体
B.免疫微球
D.修饰的微乳
E.pH敏感靶向制剂
139.减少或避免药物制剂发生药剂学配伍变化的方法有
A.调整溶剂 B.改变调配次序
C.调节药液的pH值 D.改变剂型或改换药物
E.控制贮存条件
140.炮制,在历史上又称为
A.炮炙
B.制造
C.修事
D.修治
E.复制
最新资讯
- 2025年执业西药师真题,免费下载2025-11-11
- 2025年中药执业药师真题考试题,免费下载2025-11-10
- 2025年执业药师西药《药事管理与法规》真题及答案(多项选择题)2025-10-28
- 2025年执业药师西药《药事管理与法规》真题及答案(综合分析题)2025-10-28
- 2025年执业药师西药《药事管理与法规》真题及答案(配伍选择题)2025-10-28
- 2025年执业药师西药《药事管理与法规》真题及答案(最佳选择题)2025-10-28
- 2025年执业药师《药学综合知识与技能》真题(多项选择题)2025-10-28
- 2025年执业药师《药学综合知识与技能》真题(综合分析题)2025-10-28
- 2025年执业药师《药学综合知识与技能》真题(配伍选择题)2025-10-28
- 2025年执业药师《药学综合知识与技能》真题(最佳选择题)2025-10-28