一级建筑师考试建筑结构辅导:建筑力学1
建筑力学包括静力学、材料力学、结构力学三部分。
第一节 静力学基本方法
静力学研究物体在力作用下的平衡规律。
一、静力学基本概念
(一)工程中常见的几种典型约束的性质以及相应约束反力的确定方法列于表9-1中。
(二)力在坐标轴上的投影

过力矢F的两端A、B,向坐标轴作垂线,在坐标轴上得到垂足a、b,线段ab,再冠之以正负号,便称为力F在坐标轴上的投影。如图9-1中所示的X、Y即为力F分别在x与y轴上的投影,其值为力F的模乘以力与投影轴正向间夹角的余弦,即:
X=|F|cosα
X=|F|cosβ (9-1)
若力与任一坐标轴x平行,即α=0˚或α=180˚时:
X=|F|或X=-|F|
若力与任一坐标轴x垂直,即α=0˚时:
X=0
(三)力矩与力偶
1.力对点之矩
力对刚体的运动效应包括两种:移动和转动。力对点之矩是度量力使物体绕该点转动效应的物理量。
在空间问题中,力对点之矩为矢量,其方向由右手定则确定,如图9-2所示。
式中d为力到矩心O的垂直距离,称为力臂。习惯上,力使物体绕矩心逆时针转动时,(9-2)式取正号,反之取负号。
2.力矩的性质
(1)力对点之矩,不仅取决于力的大小,同时还取决于矩心的位置,故不明确矩心位置的力矩是无意义的。
(2)力的数值为零,或力的作用线通过矩心时,力矩为零。
(3)合力矩定理:合力对一点之矩等于各分力对同一点之矩的代数和,即:(9-3)
3.力偶
大小相等、方向相反、作用线平行但不重合的两个力组成的力系,称为力偶。用符号(F,F')表示。如图9-3所示。图中的L平面为力偶作用平面,d为两力之间的距离,称为力偶臂。
4,力偶的性质
(1)力偶无合力,即不能简化为一个力,或者说不能与一个力等效。故力偶对刚体只产生转动效应而不产生移动效应。
(2)力偶对刚体的转动效应用力偶矩度量。
在空间问题中,力偶矩为矢量,其方向由右手定则确定,如图9-3所示。
在平面问题中,力偶矩为代数量,表示为:
m=±Fd (9-4)
通常取逆时针转向的力偶矩为正,反之为负。
(3)作用在刚体上的两个力偶,其等效的充分必要条件是此二力偶的力偶矩矢相等。
由此性质可得到如下推论:
推论1 只要力偶矩矢保持不变,力偶可在其作用面内任意移动和转动,亦可在其平行平面内移动,而不改变其对刚体的作用效果。因此力偶矩矢为自由矢量。
推论2 只要力偶矩矢保持不变,力偶中的两个力及力偶臂均可改变,而不改变其对刚体的作用效果。
由力偶的上述性质可知,力偶对刚体的作用效果取决于力偶的三要素,即力偶矩的大小、力偶作用平面的方位及力偶在其作用面内的转向。
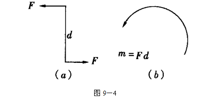
图9-4(a)、(b)表示的为同一个力偶,其力偶矩为m=Fd

(四)力的平移定理
显然,力可沿作用线移动,而不改变其对刚体的作用效果,现在要来研究如何将力的作用线进行平移。

如图9―5所示,在B点加一对与力F等值、平行的平衡力,并使F=F'=―F'',其中F与F''构成一力偶,称为附加力偶,其力偶矩m=Fd=mB(F)。这样,作用于A点的力F与作用于B点的力F,和一个力偶矩为m的附加力偶等效。由此得出结论:作用于刚体上的力F可平移至体内任一指定点,但同时必须附加一力偶,其力偶矩等于原力F对于新作用点B之矩。这就是力的平移定理。
最新资讯
- 【免费下载】2026一级建筑师《建筑设计》1月份重要知识点汇总2026-02-02
- 2026一级注册建筑师考试《设计前期与场地设计》12月核心知识点总结2025-12-30
- 2026年一级建筑师《建筑经济施工与设计业务管理》考点2025-12-01
- 2026年一级建筑师《建筑材料与构造》考点:地基与基础2025-11-04
- 2026年一级建筑师高频考点:关于不稳定传热2025-10-07
- 2026年一级建筑师高频考点:建筑材料的分类2025-10-02
- 2026年一级建筑师《建筑设计》考点:公共建筑的总体环境布局2025-09-28
- 2026年一级建筑师《设计前期与场地设计》考点:城乡规划2025-09-24
- 2026年一级建筑师《设计前期与场地设计》高频考点:民用建筑选址2025-09-07
- 2026年一级建筑师《设计前期与场地设计》高频考点:基地出入口2025-08-21