一级建筑师考试建筑结构辅导:建筑力学3
更新时间:2009-10-19 15:27:29
来源:|0
浏览
收藏
一级建筑师报名、考试、查分时间 免费短信提醒
第二节 静定梁的受力分析、剪力图与弯矩图
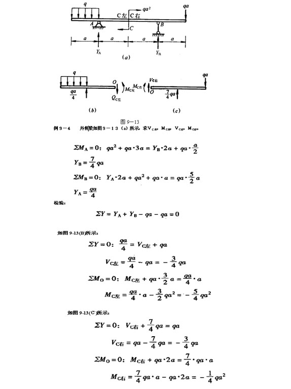
例9―3见图9―10所示。

检验:
1.截面法求指定x截面剪力V,弯矩M
(1)截开:如图9-11所示;

(2)取左(或右)为研究对象;
(3)画左(或右)的受力图;
(4)列左(或右)的平衡方程
注意:V、M方向按正向假设画出。
剪力与弯矩+、-号规定:如图9-12所示。
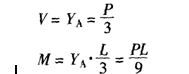
剪力V:顺时针为正,反之为负。
弯矩M:如图向上弯为正,反之为负。
上题中,如
则
从左、从右计算结果相同。

由式(9-5),式(9-6),式(9-7),式(8-8)可以看出以下求剪力和弯矩的规律。
2.直接法求V、M:剪力V=截面一侧所有竖向外力的代数和。
弯矩M=截面一侧所有外力对截面形心O力矩的代数和。
式中各项的+、-号:如图9-14所示为+、反之为-。

编辑推荐
最新资讯
- 【免费下载】2026一级建筑师《建筑设计》1月份重要知识点汇总2026-02-02
- 2026一级注册建筑师考试《设计前期与场地设计》12月核心知识点总结2025-12-30
- 2026年一级建筑师《建筑经济施工与设计业务管理》考点2025-12-01
- 2026年一级建筑师《建筑材料与构造》考点:地基与基础2025-11-04
- 2026年一级建筑师高频考点:关于不稳定传热2025-10-07
- 2026年一级建筑师高频考点:建筑材料的分类2025-10-02
- 2026年一级建筑师《建筑设计》考点:公共建筑的总体环境布局2025-09-28
- 2026年一级建筑师《设计前期与场地设计》考点:城乡规划2025-09-24
- 2026年一级建筑师《设计前期与场地设计》高频考点:民用建筑选址2025-09-07
- 2026年一级建筑师《设计前期与场地设计》高频考点:基地出入口2025-08-21