一级建筑师建筑物理与设备知识辅导:传热的基本知识
更新时间:2013-09-27 11:22:14
来源:|0
浏览
收藏
一级建筑师报名、考试、查分时间 免费短信提醒
摘要 一级建筑师建筑物理与设备知识辅导:传热的基本知识
第一节 传热的基本知识
热量的传递称为传热。在自然界中,只要存在温差就会出现传热现象。
一、传热的基本概念
(一)温度
温度是表征物体冷热程度的物理量,温度使用的单位为K或℃。
(二)温度场
某一瞬间,物体内所有各点的温度分布称为温度场。稳定温度场:温度场内各点温度不随时间变化。
(2)不稳定温度场:温度场内各点温度随时间发生变化。
在建筑热工设计中,主要涉及的是一维稳定温度场t=f(x)和一维不稳定温度场t=f(x, )中的传热问题。在一维稳定温度场中,温度仅沿一个方向(如围护结构的厚度方向)发生变化;而在一维不稳定温度场中,温度不仅沿一个方向发生变化,而且各点的温度还随着时间发生改变。
(三)等温面
温度场中同一时刻由温度相同的各点相连所形成的面。使用等温面可以形象地表示温度场内的温度分布。

不同温度的等温面绝对不会相交。
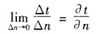
(四)温度梯度
温度差与沿法线方向两个等温面之间距离Δt的比值的极限叫做温度梯度。表示为:

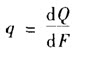
(五)热流密度(热流强度)
热流密度是在单位时间内,通过等温面上单位面积的热量,单位为W/┫.若单位时间通过等温面上微元面积dF的热量为dQ,则热流密度定义式为:

查看更多:一级建筑师课程 一级建筑师课程辅导报名 在职硕士课程
编辑推荐:
编辑推荐
最新资讯
- 2026年一级建筑师《建筑经济、施工与设计业务管理》考前抢分资料 免费下载2026-03-31
- 2026一级建筑师《建筑结构、建筑物理与设备》考前抢分资料,免费下载2026-03-30
- 2026一级建筑师教材重大变动必看,附历年真题解析考前必练2026-03-20
- 【免费下载】2026一级建筑师《建筑设计》1月份重要知识点汇总2026-02-02
- 2026一级注册建筑师考试《设计前期与场地设计》12月核心知识点总结2025-12-30
- 2026年一级建筑师《建筑经济施工与设计业务管理》考点2025-12-01
- 2026年一级建筑师《建筑材料与构造》考点:地基与基础2025-11-04
- 2026年一级建筑师高频考点:关于不稳定传热2025-10-07
- 2026年一级建筑师高频考点:建筑材料的分类2025-10-02
- 2026年一级建筑师《建筑设计》考点:公共建筑的总体环境布局2025-09-28