2014一级建筑师:外围护结构的传热过程和特点
更新时间:2014-03-20 15:43:09
来源:|0
浏览
收藏
一级建筑师报名、考试、查分时间 免费短信提醒
摘要 2014一级建筑师《建筑物理与建筑设备》:外围护结构的传热过程和特点,详细内容整理如下,供大家复习备考过程中参考。
外围护结构的传热过程和特点

(一)围护结构的传热过程
通过围护结构的传热要经过三个阶段:
(1)表面吸热阶段:内表面从室内吸热(冬季)或外表面从室外空间吸热(夏季)。
(2)结构本身传热阶段:热量由结构的高温表面传向低温表面。
(3)表面放热阶段;外表面向室外空间放热(冬季)或内表面向室内空间放热(夏季)。
(二)表面换热
热量在围护结构的内表面和室内空间或在外表面和室外空间进行传递的现象称为表面换热。
表面换热由对流换热和辐射换热两部分组成。


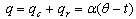
式中 q――表面换热量,W/m2
θ――室内或室外壁面温度,K;
t――室内或室外气温,K。
α――表面换热系数
αc――对流换热系数,W/(┫?K);
αr――辐射换热系数,W/(┫?K)。
编辑推荐:
编辑推荐
最新资讯
- 2026年一级建筑师《建筑经济、施工与设计业务管理》考前抢分资料 免费下载2026-03-31
- 2026一级建筑师《建筑结构、建筑物理与设备》考前抢分资料,免费下载2026-03-30
- 2026一级建筑师教材重大变动必看,附历年真题解析考前必练2026-03-20
- 【免费下载】2026一级建筑师《建筑设计》1月份重要知识点汇总2026-02-02
- 2026一级注册建筑师考试《设计前期与场地设计》12月核心知识点总结2025-12-30
- 2026年一级建筑师《建筑经济施工与设计业务管理》考点2025-12-01
- 2026年一级建筑师《建筑材料与构造》考点:地基与基础2025-11-04
- 2026年一级建筑师高频考点:关于不稳定传热2025-10-07
- 2026年一级建筑师高频考点:建筑材料的分类2025-10-02
- 2026年一级建筑师《建筑设计》考点:公共建筑的总体环境布局2025-09-28