2014一级建筑师考点:平面任意力系的简化与平衡
更新时间:2014-03-24 16:07:45
来源:|0
浏览
收藏
一级建筑师报名、考试、查分时间 免费短信提醒
摘要 2014一级建筑师考点:平面任意力系的简化与平衡,详细内容整理如下,供大家复习备考过程中参考。
平面任意力系的简化与平衡
平面任意力系是指各力的作用线均在同一平面但呈任意分布的力系。
力的平移定理:可以将作用在刚体上点 A 的力 F 平移到任一点 B ,但必须同时附加一个力偶,该力偶的力矩等于原来的力 F 对新作用点 B 的矩。
合力矩定理:平面任意力系的合力对作用面内任一点的矩,等于力系中各力对同一点的矩的代数和。
平面任意力系向作用面内任一点 O 简化,可得到一个力和一个力偶(图 3 -6 )。这个力等于该力系的主矢(即各力的矢量和),作用线通过简化中心O;这个力偶的矩等于该力系对于点 O 的主矩(即各力对点 O 的矩的代数和)。

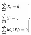
平面任意力系平衡的充分和必要条件是:该力系的主矢及力系对于任一点的主矩均等于零。若用解析式表示,即为:

该式表明,平面任意力系平衡的解析条件为:所有各力在两个任选的坐标轴上的投影代数和分别等于零,且各力对于任一点的矩的代数和等于零。上式有三个独立的方程,故只能求解三个未知量。
【例3 -3】三角支架的受力计算简图如图3 -7 (a)所示,试求杆BC的内力。

取横梁 AB 为研究对象,作出受力图如图 3 -7 ( b )所示。梁 AB 除受均布荷载 q 外,在铰支端 A 处还受约束反力 RAx 、 RAy 的作用,B处还受二力杆BC的约束反力 NBC(设为压力)的作用。梁 AB 上的这些力组成一平面任意力系。
若只需计算 BC 杆的内力,则只需利用对 A 点的力矩平衡方程,即

解得:
若还需进一步计算 A 点的约束反力,则可利用对 x 、y 轴的投影平衡方程,即

解方程得:
编辑推荐:
编辑推荐
最新资讯
- 【免费下载】2026一级建筑师《建筑设计》1月份重要知识点汇总2026-02-02
- 2026一级注册建筑师考试《设计前期与场地设计》12月核心知识点总结2025-12-30
- 2026年一级建筑师《建筑经济施工与设计业务管理》考点2025-12-01
- 2026年一级建筑师《建筑材料与构造》考点:地基与基础2025-11-04
- 2026年一级建筑师高频考点:关于不稳定传热2025-10-07
- 2026年一级建筑师高频考点:建筑材料的分类2025-10-02
- 2026年一级建筑师《建筑设计》考点:公共建筑的总体环境布局2025-09-28
- 2026年一级建筑师《设计前期与场地设计》考点:城乡规划2025-09-24
- 2026年一级建筑师《设计前期与场地设计》高频考点:民用建筑选址2025-09-07
- 2026年一级建筑师《设计前期与场地设计》高频考点:基地出入口2025-08-21