2014一级建筑师考试《建筑结构》考点:截面法
更新时间:2014-04-09 15:14:27
来源:|0
浏览
收藏
一级建筑师报名、考试、查分时间 免费短信提醒
摘要 2014一级建筑师考试《建筑结构》考点:截面法,详细内容整理如下,供大家复习备考过程中参考。
截面法
截面法是结构内力分析的基本方法。截面法计算结构内力的基本步骤为:
( 1)将结构沿拟求内力的截面切开。
( 2 )取截面任一侧的部分为隔离体,作出隔离体的受力图;受力图中的力包括两部分:外荷载和截断约束处的约束力(截面内力或支座反力),未知截面内力一般假设为正号方向。
( 3 )利用静力平衡条件计算所求内力。对于平面结构,一般情况下隔离体上的各力组成一平面任意力系,故有三个独立的平衡方程(投影方程或力矩方程) :

( 1 )求支座反力
将梁(图 3 -32a )沿三根支座链杆处截开,取梁整体为隔离体,作出隔离体的受力图如图 3 -32 ( b )所示。由整体平衡条件,可得:

( 2 )求截面内力
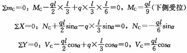
在 1 / 3 跨截面 C 处截开,取 AC 部分为隔离体,作出受力图如图 3 -32 (c)所示。由隔离体 AC 的平衡条件(x、y方向分别沿截面的轴向和切向),可得:

注:计算截面 C 内力时,也可先求出截面上的水平和竖向分力 Xc 、 Yc ( Xc =0 ) ,再将其沿切向和轴向分解得到截面的剪力和轴力。
编辑推荐:
编辑推荐
最新资讯
- 2026年一级建筑师《建筑经济、施工与设计业务管理》考前抢分资料 免费下载2026-03-31
- 2026一级建筑师《建筑结构、建筑物理与设备》考前抢分资料,免费下载2026-03-30
- 2026一级建筑师教材重大变动必看,附历年真题解析考前必练2026-03-20
- 【免费下载】2026一级建筑师《建筑设计》1月份重要知识点汇总2026-02-02
- 2026一级注册建筑师考试《设计前期与场地设计》12月核心知识点总结2025-12-30
- 2026年一级建筑师《建筑经济施工与设计业务管理》考点2025-12-01
- 2026年一级建筑师《建筑材料与构造》考点:地基与基础2025-11-04
- 2026年一级建筑师高频考点:关于不稳定传热2025-10-07
- 2026年一级建筑师高频考点:建筑材料的分类2025-10-02
- 2026年一级建筑师《建筑设计》考点:公共建筑的总体环境布局2025-09-28