2014一级建筑师建筑结构:梁式直杆的内力图特征
更新时间:2014-04-15 10:23:20
来源:|0
浏览
收藏
一级建筑师报名、考试、查分时间 免费短信提醒
摘要 2014一级建筑师考试《建筑结构》考点:梁式直杆的内力图特征,详细内容整理如下,供大家复习备考过程中参考。
梁式直杆的内力图特征

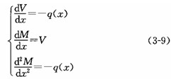
任取一梁的微段 dx 为隔离体(图 3 -33 ) ,由平衡条件可导得内力与荷载间的微分关系为:

根据上述增量关系,可获得不同荷载情况下梁式直杆的内力图的形状特征如下:
( 1 )无荷载区段: V 图为平直线, M 图为斜直线;当 V 为正时, M 图线相对于基线为顺时针转(锐角方向),当 V 为负时为逆时针转,当 V=0 时 M 图为平直线。
( 2 )均布荷载区段: V 图为斜直线, M 图为二次抛物线,抛物线的凸出方向与荷载指向一致, V =0 处 M 有极值。
( 3 )集中荷载作用处: V 图有突变,突变值等于该集中荷载值, M 图为一尖角,尖角方向与荷载指向一致;若 V 发生变号,则 M 有极值。
( 4 )集中力偶作用处: M 图有突变,突变值等于该集中力偶值, V 图无变化。
( 5 )铰节点一侧截面上:若无集中力偶作用,则弯矩等于零;若有集中力偶作用,则弯矩等于该集中力偶值。
( 6 )自由端截面上:若无集中力(力偶)作用,则剪力(弯矩)等于零;若有集中力(力偶)作用,则剪力(弯矩)值等于该集中力(力偶)值。
内力图的上述特征适用于梁、刚架、组合结构等各类结构的梁式直杆,并且与结构是静定还是超静定无关。
编辑推荐:
编辑推荐
最新资讯
- 2026年一级建筑师《建筑经济、施工与设计业务管理》考前抢分资料 免费下载2026-03-31
- 2026一级建筑师《建筑结构、建筑物理与设备》考前抢分资料,免费下载2026-03-30
- 2026一级建筑师教材重大变动必看,附历年真题解析考前必练2026-03-20
- 【免费下载】2026一级建筑师《建筑设计》1月份重要知识点汇总2026-02-02
- 2026一级注册建筑师考试《设计前期与场地设计》12月核心知识点总结2025-12-30
- 2026年一级建筑师《建筑经济施工与设计业务管理》考点2025-12-01
- 2026年一级建筑师《建筑材料与构造》考点:地基与基础2025-11-04
- 2026年一级建筑师高频考点:关于不稳定传热2025-10-07
- 2026年一级建筑师高频考点:建筑材料的分类2025-10-02
- 2026年一级建筑师《建筑设计》考点:公共建筑的总体环境布局2025-09-28