一级建筑师建筑经济施工:财务净现值(FNPV)
更新时间:2014-11-12 10:19:51
来源:|0
浏览
收藏
一级建筑师报名、考试、查分时间 免费短信提醒
摘要 一级建筑师考试《建筑经济施工与设计业务管理》知识点:财务净现值(FNPV),已经整理更新完毕,供各位考友参考。
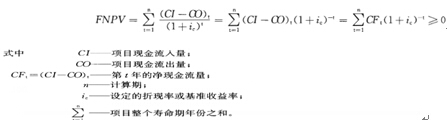
财务净现值(FNPV)
财务净现值是反映项目在整个寿命期内总的获利能力的动态评价指标。它是指项目按部门或行业的基准收益率(ic)或设定的折现率(当未制定基准收益率时),将各年的净现金流量,折现到建设开始年(基准年)的现值总和,即为工程项目逐年净现金流量的现值代数和。其计算公式为:

财务净现值是评价项目财务盈利能力的绝对指标,其判别标准为:财务净现值应≥零。
编辑推荐:
编辑推荐
最新资讯
- 2026年一级建筑师《建筑经济、施工与设计业务管理》考前抢分资料 免费下载2026-03-31
- 2026一级建筑师《建筑结构、建筑物理与设备》考前抢分资料,免费下载2026-03-30
- 2026一级建筑师教材重大变动必看,附历年真题解析考前必练2026-03-20
- 【免费下载】2026一级建筑师《建筑设计》1月份重要知识点汇总2026-02-02
- 2026一级注册建筑师考试《设计前期与场地设计》12月核心知识点总结2025-12-30
- 2026年一级建筑师《建筑经济施工与设计业务管理》考点2025-12-01
- 2026年一级建筑师《建筑材料与构造》考点:地基与基础2025-11-04
- 2026年一级建筑师高频考点:关于不稳定传热2025-10-07
- 2026年一级建筑师高频考点:建筑材料的分类2025-10-02
- 2026年一级建筑师《建筑设计》考点:公共建筑的总体环境布局2025-09-28