2015一级建筑师建筑设计:城市建设用密度控制
更新时间:2014-12-18 10:22:18
来源:|0
浏览
收藏
一级建筑师报名、考试、查分时间 免费短信提醒
摘要 2015一级建筑师考试《设计前程场地与建筑设计》,城市建设用密度控制,相关知识点已经整理更新,希望对各位考生朋友的备考,起到一定作用。
城市建设用密度控制
(一)建筑密度
建筑密度也称建筑覆盖率,指建设用地(建筑基地)内,所有建筑占基地面积之和与建筑基地总面积的百分比。单位:%。

建筑密度表达了基地内建筑直接占用土地面积的比例。
(二)建筑系数
指基地内,被建筑物、构筑物占用的土地面积,占总用地的百分比。单位:%。

式中 G――基地总用地面积;
Z――建筑物及构筑物占地面积;
I――露天仓库、堆场、操作场占地面积。
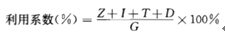
(三)(场地)利用系数
基地内被以各种方式有效利用的土地总面积,占总用地面的百分比。单位:%。

式中G、Z、I――同上式;
T――铁路、道路、人行道占地面积;
D――地上、地下工程管线占地面积。
温馨提示:各位考友可进入一级建筑师考试交流群:151586847,或进入注册建筑师考试论坛与广大考友一起学习交流。
编辑推荐:
编辑推荐
最新资讯
- 2026一级建筑师划重点!各科高频考点+高效备考方向一文看懂2026-04-22
- 2026一级建筑师考试时间安排及科目分值提前了解(附各科目答题技巧)2026-04-22
- 2026年一级建筑师《建筑经济、施工与设计业务管理》考前抢分资料 免费下载2026-03-31
- 2026一级建筑师《建筑结构、建筑物理与设备》考前抢分资料,免费下载2026-03-30
- 2026一级建筑师教材重大变动必看,附历年真题解析考前必练2026-03-20
- 【免费下载】2026一级建筑师《建筑设计》1月份重要知识点汇总2026-02-02
- 2026一级注册建筑师考试《设计前期与场地设计》12月核心知识点总结2025-12-30
- 2026年一级建筑师《建筑经济施工与设计业务管理》考点2025-12-01
- 2026年一级建筑师《建筑材料与构造》考点:地基与基础2025-11-04
- 2026年一级建筑师高频考点:关于不稳定传热2025-10-07