执业药师考试辅导:抗心绞痛药(4)
更新时间:2010-06-22 14:04:39
来源:|0
浏览
收藏
执业药师报名、考试、查分时间 免费短信提醒
执业药师考试辅导:抗心绞痛药(4)
单硝酸异山梨醇酯


特点:①为异山梨醇的5-单硝酸酯
②原是异山梨酯的体内活性代谢物
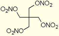
戊四硝酯

结构特点:戊四醇的四硝酸酯
作用特点:维持时间长
- 【招生专题】【课程更新(6.21)】
- 老师曹秀格谈2010执业药师考试
- 2010执业药师考试报名指南专题
- 2010执业药师考试应试要求和方法
- 2010执业药师考试时间10/16、17
- 09执业药师辅导通过率达85.2%
- 7月17日北京执业药师考情分析会
- 2010执业药师资格考试报名汇总
更多信息访问: 执业药师考试频道 执业药师考试论坛 执业药师博客圈
编辑推荐
最新资讯
- 2025年执业药师药二知识重点,西药二高频考点梳理2025-10-11
- 2025年执业药师法规重点:常考法规条款整理,备考直击要点2025-10-10
- 2025年执业药师考试重点笔记,助力冲刺复习2025-10-09
- 2025年执业药师考试重点知识:全科目重点知识汇总,备考更高效2025-09-30
- 2025年执业药师考前重点:考前必看核心考点,快速查漏补缺2025-09-29
- 2025年执业药师重点总结:全科目核心考点整合2025-09-28
- 2025年执业药师药二重点笔记:药二考点精华2025-09-26
- 2025年执业药师中药一重点总结,考点清晰梳理2025-09-25
- 2025年执业药师药一知识重点:分章节考点整理,告别盲目刷题2025-09-24
- 2025年执业药师药事管理与法规重点:法规核心条款解读,易懂好记2025-09-23