执业药师考试辅导:四环素类抗生素
更新时间:2011-02-22 10:57:44
来源:|0
浏览
收藏
执业药师报名、考试、查分时间 免费短信提醒
执业药师考试辅导:四环素类抗生素

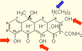
1.发展:具有氢化并四苯基本结构的广谱抗生素,用于G+和G-菌引起的感染,对某些立克次体、病毒和原虫也有效.易产生耐药性
2.性质和稳定性
两性化合物:酚羟基、烯醇基显酸性;二甲氨基显碱性
⑴脱水反应: 酸性条件下,C6羟基与C5α氢发生反式消除,生成橙黄色脱水物
⑵开环反应:弱碱性条件下,C6羟基与C11羰基形成内酯结构
盐酸多西环素无C6羟基,无此反应
⑶差向异构化:pH2~6时,C4二甲氨基发生可逆性的异构化反应
土霉素C5羟基与C4二甲氨基形成分子内氢键,不易发生异构化
⑷结构中羟基、烯醇基及羰基与金属离子络合
铁-红色 铝-黄色 钙-不溶性钙盐,四环素牙
更多信息访问: 执业药师考试频道 执业药师考试论坛 执业药师博客圈
下一篇:执业药师考试辅导:盐酸多西环素
最新资讯
- 2025年执业药师药二知识重点,西药二高频考点梳理2025-10-11
- 2025年执业药师法规重点:常考法规条款整理,备考直击要点2025-10-10
- 2025年执业药师考试重点笔记,助力冲刺复习2025-10-09
- 2025年执业药师考试重点知识:全科目重点知识汇总,备考更高效2025-09-30
- 2025年执业药师考前重点:考前必看核心考点,快速查漏补缺2025-09-29
- 2025年执业药师重点总结:全科目核心考点整合2025-09-28
- 2025年执业药师药二重点笔记:药二考点精华2025-09-26
- 2025年执业药师中药一重点总结,考点清晰梳理2025-09-25
- 2025年执业药师药一知识重点:分章节考点整理,告别盲目刷题2025-09-24
- 2025年执业药师药事管理与法规重点:法规核心条款解读,易懂好记2025-09-23